Get the free Vendor Eligibility - Renton Farmers Market - Renton ...
Show details
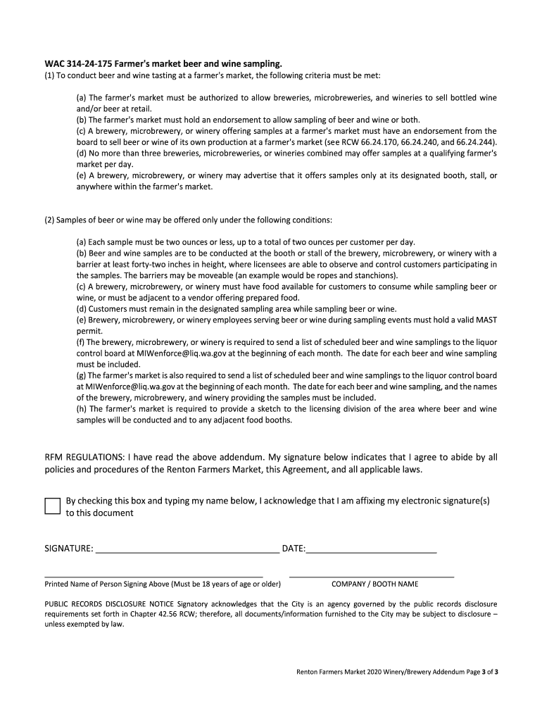
ADDENDUM TO RENTON FARMERS MARKET
FARMER/PROCESSOR/PREPARED FOOD 2020 APPLICATION TO SELL
FOR WINERY/BREWERY VENDORS PROVIDING ALCOHOL SAMPLING ONSITE
Market Vendor agrees to comply with WAC 31420018
We are not affiliated with any brand or entity on this form
Get, Create, Make and Sign vendor eligibility - renton
Edit your vendor eligibility - renton form online
Type text, complete fillable fields, insert images, highlight or blackout data for discretion, add comments, and more.
Add your legally-binding signature
Draw or type your signature, upload a signature image, or capture it with your digital camera.
Share your form instantly
Email, fax, or share your vendor eligibility - renton form via URL. You can also download, print, or export forms to your preferred cloud storage service.
Editing vendor eligibility - renton online
Follow the guidelines below to benefit from a competent PDF editor:
1
Create an account. Begin by choosing Start Free Trial and, if you are a new user, establish a profile.
2
Prepare a file. Use the Add New button. Then upload your file to the system from your device, importing it from internal mail, the cloud, or by adding its URL.
3
Edit vendor eligibility - renton. Replace text, adding objects, rearranging pages, and more. Then select the Documents tab to combine, divide, lock or unlock the file.
4
Get your file. Select the name of your file in the docs list and choose your preferred exporting method. You can download it as a PDF, save it in another format, send it by email, or transfer it to the cloud.
The use of pdfFiller makes dealing with documents straightforward.
Uncompromising security for your PDF editing and eSignature needs
Your private information is safe with pdfFiller. We employ end-to-end encryption, secure cloud storage, and advanced access control to protect your documents and maintain regulatory compliance.
How to fill out vendor eligibility - renton
How to fill out vendor eligibility - renton
01
To fill out Vendor Eligibility in Renton, follow these steps:
02
Obtain the Vendor Eligibility form from the Renton City website or the Renton City Hall.
03
Read the instructions carefully and gather all the necessary documents and information.
04
Complete all the required fields in the Vendor Eligibility form, ensuring accuracy and clarity.
05
Attach any supporting documents required, such as proof of identity, business license, tax documents, etc.
06
Double-check all the provided information and make sure all the required fields are filled correctly.
07
Submit the completed Vendor Eligibility form along with the supporting documents to the designated Renton City office.
08
Wait for the evaluation process to be completed, and if eligible, you will be notified of your vendor eligibility status.
09
If approved, you can now legally engage in vending activities in Renton as a eligible vendor.
Who needs vendor eligibility - renton?
01
Anyone who wants to engage in vending activities in Renton needs Vendor Eligibility.
02
This includes individuals, businesses, or organizations that plan to operate a food truck, pushcart, kiosk, or other mobile food units within the city limits of Renton.
03
Obtaining Vendor Eligibility is a requirement to ensure compliance with Renton City regulations and maintain the safety and quality standards for all vendors.
04
Whether you are a new vendor or an existing one, it is essential to meet the eligibility criteria set by the Renton City and obtain the necessary permits before engaging in vending activities.
Fill
form
: Try Risk Free
For pdfFiller’s FAQs
Below is a list of the most common customer questions. If you can’t find an answer to your question, please don’t hesitate to reach out to us.
How can I edit vendor eligibility - renton from Google Drive?
It is possible to significantly enhance your document management and form preparation by combining pdfFiller with Google Docs. This will allow you to generate papers, amend them, and sign them straight from your Google Drive. Use the add-on to convert your vendor eligibility - renton into a dynamic fillable form that can be managed and signed using any internet-connected device.
Where do I find vendor eligibility - renton?
The premium pdfFiller subscription gives you access to over 25M fillable templates that you can download, fill out, print, and sign. The library has state-specific vendor eligibility - renton and other forms. Find the template you need and change it using powerful tools.
How do I fill out the vendor eligibility - renton form on my smartphone?
Use the pdfFiller mobile app to fill out and sign vendor eligibility - renton on your phone or tablet. Visit our website to learn more about our mobile apps, how they work, and how to get started.
What is vendor eligibility - renton?
Vendor eligibility in Renton refers to the criteria and requirements that a business or individual must meet in order to be approved as a vendor for the city of Renton. This often includes guidelines related to licensing, insurance, and compliance with local regulations.
Who is required to file vendor eligibility - renton?
Any business or individual that wishes to sell goods or services to the city of Renton must file for vendor eligibility. This includes contractors, suppliers, and service providers.
How to fill out vendor eligibility - renton?
To fill out the vendor eligibility application in Renton, you typically need to provide business information, proof of licensing and insurance, as well as any other required documentation specific to your services or goods.
What is the purpose of vendor eligibility - renton?
The purpose of vendor eligibility in Renton is to ensure that all vendors comply with city regulations and standards, which helps to maintain the quality of services and products provided to the city and its residents.
What information must be reported on vendor eligibility - renton?
Information that must be reported on the vendor eligibility application in Renton includes business name, contact information, proof of licensure, insurance details, and any applicable certifications or credentials.
Fill out your vendor eligibility - renton online with pdfFiller!
pdfFiller is an end-to-end solution for managing, creating, and editing documents and forms in the cloud. Save time and hassle by preparing your tax forms online.
Vendor Eligibility - Renton is not the form you're looking for?Search for another form here.
Relevant keywords
Related Forms
If you believe that this page should be taken down, please follow our DMCA take down process
here
.
This form may include fields for payment information. Data entered in these fields is not covered by PCI DSS compliance.