
Get the free Notice for payment of gratuity FORM L
Show details
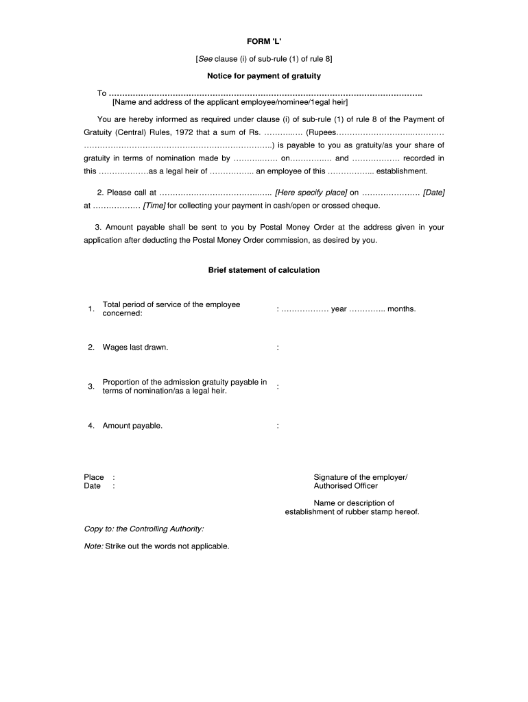
FORM 'L See clause (i) of subrule (1) of rule 8 Notice for payment of gratuity To. Name and address of the applicant employee/nominee/1egal heir You are hereby informed as required under clause (i)
We are not affiliated with any brand or entity on this form
Get, Create, Make and Sign notice for payment of

Edit your notice for payment of form online
Type text, complete fillable fields, insert images, highlight or blackout data for discretion, add comments, and more.

Add your legally-binding signature
Draw or type your signature, upload a signature image, or capture it with your digital camera.

Share your form instantly
Email, fax, or share your notice for payment of form via URL. You can also download, print, or export forms to your preferred cloud storage service.
Editing notice for payment of online
Follow the guidelines below to benefit from a competent PDF editor:
1
Register the account. Begin by clicking Start Free Trial and create a profile if you are a new user.
2
Prepare a file. Use the Add New button. Then upload your file to the system from your device, importing it from internal mail, the cloud, or by adding its URL.
3
Edit notice for payment of. Add and replace text, insert new objects, rearrange pages, add watermarks and page numbers, and more. Click Done when you are finished editing and go to the Documents tab to merge, split, lock or unlock the file.
4
Get your file. Select your file from the documents list and pick your export method. You may save it as a PDF, email it, or upload it to the cloud.
Uncompromising security for your PDF editing and eSignature needs
Your private information is safe with pdfFiller. We employ end-to-end encryption, secure cloud storage, and advanced access control to protect your documents and maintain regulatory compliance.
How to fill out notice for payment of

How to fill out notice for payment of
01
Begin by entering the date at the top of the notice.
02
Write the recipient's name and address in the next section.
03
Include the reference number or invoice number to ensure accurate identification of the payment.
04
Clearly state the amount that is being requested for payment.
05
Provide detailed information about the payment options available, such as bank transfer, online payment, or cheque.
06
Mention the due date for the payment and any late payment penalties.
07
Include contact information in case the recipient has any questions or concerns.
08
End the notice with a polite closing and a signature.
09
Make copies of the notice for your records and send the original copy to the recipient.
Who needs notice for payment of?
01
Anyone who is expecting a payment from another party may need a notice for payment of. This can include individuals, businesses, contractors, landlords, or service providers.
Fill
form
: Try Risk Free
For pdfFiller’s FAQs
Below is a list of the most common customer questions. If you can’t find an answer to your question, please don’t hesitate to reach out to us.
How can I send notice for payment of for eSignature?
To distribute your notice for payment of, simply send it to others and receive the eSigned document back instantly. Post or email a PDF that you've notarized online. Doing so requires never leaving your account.
How do I complete notice for payment of online?
Completing and signing notice for payment of online is easy with pdfFiller. It enables you to edit original PDF content, highlight, blackout, erase and type text anywhere on a page, legally eSign your form, and much more. Create your free account and manage professional documents on the web.
Can I edit notice for payment of on an Android device?
Yes, you can. With the pdfFiller mobile app for Android, you can edit, sign, and share notice for payment of on your mobile device from any location; only an internet connection is needed. Get the app and start to streamline your document workflow from anywhere.
What is notice for payment of?
Notice for payment is a formal declaration that an entity is informing another party about a payment that is due or expected.
Who is required to file notice for payment of?
Typically, businesses or individuals who are owed money or who have a contractual obligation to notify another party about payments are required to file a notice for payment.
How to fill out notice for payment of?
To fill out a notice for payment, you should include the names and addresses of the parties involved, the amount due, the nature of the debt, and the deadline for payment, along with any pertinent documentation.
What is the purpose of notice for payment of?
The purpose of notice for payment is to formally communicate the obligation to pay and to establish a record that can be used in case of disputes or legal action.
What information must be reported on notice for payment of?
The information that must be reported includes the date of issuance, parties' information, details of the payment owed, reason for the payment, and payment due date.
Fill out your notice for payment of online with pdfFiller!
pdfFiller is an end-to-end solution for managing, creating, and editing documents and forms in the cloud. Save time and hassle by preparing your tax forms online.

Notice For Payment Of is not the form you're looking for?Search for another form here.
Relevant keywords
Related Forms
If you believe that this page should be taken down, please follow our DMCA take down process
here
.
This form may include fields for payment information. Data entered in these fields is not covered by PCI DSS compliance.