Form preview

Get the free Om P

Get Form
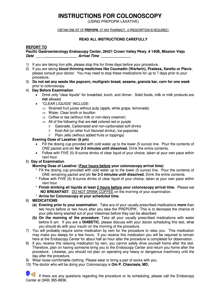
INSTRUCTIONS FOR COLONOSCOPY (USING PRETORIA LAXATIVE) (OBTAIN ONE KIT OF PRETORIA AT ANY PHARMACY, A PRESCRIPTION IS REQUIRED.)READ ALL INSTRUCTIONS CAREFULLY REPORT TO Pacific Gastroenterology Endoscopy
We are not affiliated with any brand or entity on this form

Get, Create, Make and Sign om p

Edit
Edit your om p form online
Type text, complete fillable fields, insert images, highlight or blackout data for discretion, add comments, and more.
Add
Add your legally-binding signature
Draw or type your signature, upload a signature image, or capture it with your digital camera.
Share
Share your form instantly
Email, fax, or share your om p form via URL. You can also download, print, or export forms to your preferred cloud storage service.

How to edit om p online

9.5
Ease of Setup
pdfFiller User Ratings on G2
9.0
Ease of Use
pdfFiller User Ratings on G2
To use our professional PDF editor, follow these steps:
1
Set up an account. If you are a new user, click Start Free Trial and establish a profile.
2
Upload a document. Select Add New on your Dashboard and transfer a file into the system in one of the following ways: by uploading it from your device or importing from the cloud, web, or internal mail. Then, click Start editing.
3
Edit om p. Add and change text, add new objects, move pages, add watermarks and page numbers, and more. Then click Done when you're done editing and go to the Documents tab to merge or split the file. If you want to lock or unlock the file, click the lock or unlock button.
4
Save your file. Choose it from the list of records. Then, shift the pointer to the right toolbar and select one of the several exporting methods: save it in multiple formats, download it as a PDF, email it, or save it to the cloud.
pdfFiller makes working with documents easier than you could ever imagine. Register for an account and see for yourself!

Uncompromising security for your PDF editing and eSignature needs

Your private information is safe with pdfFiller. We employ end-to-end encryption, secure cloud storage, and advanced access control to protect your documents and maintain regulatory compliance.
GDPR
AICPA SOC 2
PCI
HIPAA
CCPA
FDA

How to fill out om p

Illustration

How to fill out om p

01
To fill out an om p form, follow these steps:
02
Gather all the necessary information that you will need to complete the form, such as personal details, employment history, and financial information.
03
Start by providing your full name, address, and contact information in the designated fields.
04
Fill in your employment history, including your current job position, employer's name, and duration of employment.
05
Provide details about your income, such as your salary or monthly earnings.
06
Enter information about your assets, such as real estate properties or vehicles you own.
07
Indicate if you have any liabilities or outstanding debts that need to be disclosed.
08
If applicable, provide information about your spouse or dependents, including their names and relationship to you.
09
Review all the information you have entered to ensure its accuracy and completeness.
10
Sign and date the form at the designated area to certify that the information provided is true and accurate.
11
Submit the completed om p form through the prescribed method, whether it's via mail, online submission, or in-person at the designated office.

Who needs om p?

01
The om p form is typically required by individuals who are applying for a specific program or benefit that requires detailed personal and financial information.
02
Common examples of individuals who may need to fill out an om p form include:
03
- Job applicants filling out employment applications
04
- Individuals applying for government assistance programs, such as welfare or unemployment benefits
05
- Loan applicants applying for mortgages, personal loans, or student loans
06
- Individuals applying for certain licenses or permits
07
It is important to consult the specific requirements or instructions provided by the organization or institution requesting the om p form to determine if you fall under the category of individuals who need to fill it out.
Fill form : Try Risk Free
Users Most Likely To Recommend - Summer 2025
Grid Leader in Small-Business - Summer 2025
High Performer - Summer 2025
Regional Leader - Summer 2025
Easiest To Do Business With - Summer 2025
Best Meets Requirements- Summer 2025
Rate the form
4.2
Satisfied
28 Votes

For pdfFiller’s FAQs

Below is a list of the most common customer questions. If you can’t find an answer to your question, please don’t hesitate to reach out to us.

When you're ready to share your om p, you can swiftly email it to others and receive the eSigned document back. You may send your PDF through email, fax, text message, or USPS mail, or you can notarize it online. All of this may be done without ever leaving your account.
You can quickly make and fill out legal forms with the help of the pdfFiller app on your phone. Complete and sign om p and other documents on your mobile device using the application. If you want to learn more about how the PDF editor works, go to pdfFiller.com.
You can make any changes to PDF files, such as om p, with the help of the pdfFiller mobile app for Android. Edit, sign, and send documents right from your mobile device. Install the app and streamline your document management wherever you are.
OM P refers to a specific regulatory form or document that requires reporting certain information to a governing authority, often related to organizational management or compliance.
Typically, organizations or entities that meet specific criteria set by the governing body are required to file OM P, which may include businesses, nonprofits, or governmental agencies.
Filling out OM P involves gathering required information, completing the form accurately according to instructions provided, and ensuring all sections are filled out thoroughly before submission.
The purpose of OM P is to ensure transparency and accountability by requiring entities to disclose relevant information for monitoring and compliance purposes.
Information that must be reported on OM P typically includes organizational details, financial data, management structures, and other specifics relevant to compliance.
Fill out your om p online with pdfFiller!

pdfFiller is an end-to-end solution for managing, creating, and editing documents and forms in the cloud. Save time and hassle by preparing your tax forms online.

Get started now
Form preview
If you believe that this page should be taken down, please follow our DMCA take down process here .
This form may include fields for payment information. Data entered in these fields is not covered by PCI DSS compliance.