
Get the free We have received your 2019-2020 Student Aid Report/Application for Financial Aid
Show details
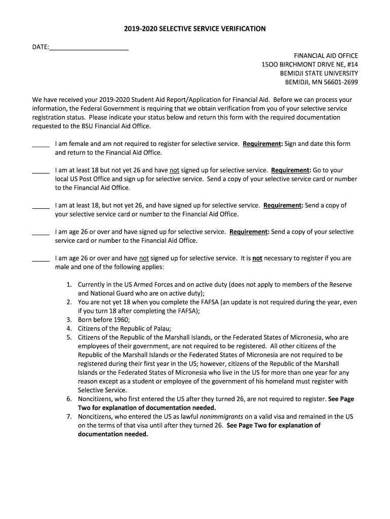
20192020 SELECTIVE SERVICE VERIFICATION
DATE:
FINANCIAL AID OFFICE
15OO RICHMOND DRIVE NE, #14
BESIDE STATE UNIVERSITY
BESIDE, MN 566012699
We have received your 20192020 Student Aid Report/Application
We are not affiliated with any brand or entity on this form
Get, Create, Make and Sign we have received your

Edit your we have received your form online
Type text, complete fillable fields, insert images, highlight or blackout data for discretion, add comments, and more.

Add your legally-binding signature
Draw or type your signature, upload a signature image, or capture it with your digital camera.

Share your form instantly
Email, fax, or share your we have received your form via URL. You can also download, print, or export forms to your preferred cloud storage service.
How to edit we have received your online
To use the professional PDF editor, follow these steps below:
1
Log into your account. It's time to start your free trial.
2
Prepare a file. Use the Add New button. Then upload your file to the system from your device, importing it from internal mail, the cloud, or by adding its URL.
3
Edit we have received your. Add and replace text, insert new objects, rearrange pages, add watermarks and page numbers, and more. Click Done when you are finished editing and go to the Documents tab to merge, split, lock or unlock the file.
4
Get your file. Select the name of your file in the docs list and choose your preferred exporting method. You can download it as a PDF, save it in another format, send it by email, or transfer it to the cloud.
With pdfFiller, it's always easy to work with documents.
Uncompromising security for your PDF editing and eSignature needs
Your private information is safe with pdfFiller. We employ end-to-end encryption, secure cloud storage, and advanced access control to protect your documents and maintain regulatory compliance.
How to fill out we have received your

How to fill out we have received your
01
To fill out 'we have received your', follow these steps:
02
Write the header 'We have received your' at the top of the document.
03
Include the date of receipt below the header.
04
Address the recipient by their name or designation.
05
Start the body of the document by acknowledging the receipt of the item or message.
06
Mention any specific details regarding the received item or message.
07
Express gratitude for the sender's communication or submission.
08
Close the document with a professional sign-off, such as 'Sincerely' or 'Best Regards'.
09
Sign your name or include your contact information if necessary.
Who needs we have received your?
01
Anyone who has received an item or communication and wants to acknowledge its receipt.
Fill
form
: Try Risk Free
For pdfFiller’s FAQs
Below is a list of the most common customer questions. If you can’t find an answer to your question, please don’t hesitate to reach out to us.
How can I manage my we have received your directly from Gmail?
You may use pdfFiller's Gmail add-on to change, fill out, and eSign your we have received your as well as other documents directly in your inbox by using the pdfFiller add-on for Gmail. pdfFiller for Gmail may be found on the Google Workspace Marketplace. Use the time you would have spent dealing with your papers and eSignatures for more vital tasks instead.
How do I make changes in we have received your?
With pdfFiller, it's easy to make changes. Open your we have received your in the editor, which is very easy to use and understand. When you go there, you'll be able to black out and change text, write and erase, add images, draw lines, arrows, and more. You can also add sticky notes and text boxes.
How do I edit we have received your on an Android device?
The pdfFiller app for Android allows you to edit PDF files like we have received your. Mobile document editing, signing, and sending. Install the app to ease document management anywhere.
What is we have received your?
We have received your is typically a formal acknowledgment from an organization, such as the IRS or another governing body, confirming that they have received an application, form, or document submitted by an individual or entity.
Who is required to file we have received your?
Typically, any individual or organization that is required to submit specific documentation or applications to a governmental agency would need to ensure they receive a confirmation of submission, which could be referred to in a communication as 'we have received your'.
How to fill out we have received your?
To fill out a submission that will prompt a 'we have received your' response, complete the required forms accurately, provide all requested information, and submit them as per the instructions provided by the agency or organization.
What is the purpose of we have received your?
The purpose of 'we have received your' is to provide reassurance to the submitter that their documents or applications have been received and are being processed, ensuring that they are informed of the status of their submission.
What information must be reported on we have received your?
The information typically reported will include the name of the individual or organization, type of submission, date received, and any tracking numbers or identifiers relevant to the submission.
Fill out your we have received your online with pdfFiller!
pdfFiller is an end-to-end solution for managing, creating, and editing documents and forms in the cloud. Save time and hassle by preparing your tax forms online.

We Have Received Your is not the form you're looking for?Search for another form here.
Relevant keywords
Related Forms
If you believe that this page should be taken down, please follow our DMCA take down process
here
.
This form may include fields for payment information. Data entered in these fields is not covered by PCI DSS compliance.