
Get the free 0642S02.33H SB 90 House Amendment NO. Offered By
Show details
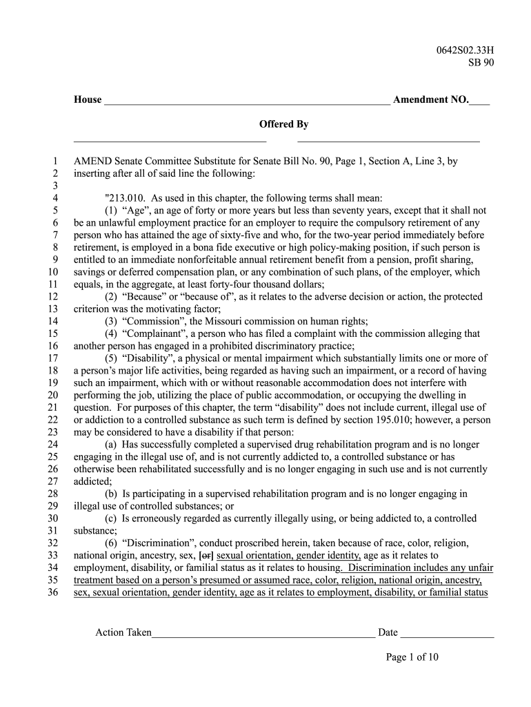
0642S02.33H SB 90 House Amendment NO. Offered By 1 2 3 4 5 6 7 8 9 10 11 12 13 14 15 16 17 18 19 20 21 22 23 24 25 26 27 28 29 30 31 32 33 34 35 36AMEND Senate Committee Substitute for Senate Bill
We are not affiliated with any brand or entity on this form
Get, Create, Make and Sign 0642s0233h sb 90 house

Edit your 0642s0233h sb 90 house form online
Type text, complete fillable fields, insert images, highlight or blackout data for discretion, add comments, and more.

Add your legally-binding signature
Draw or type your signature, upload a signature image, or capture it with your digital camera.

Share your form instantly
Email, fax, or share your 0642s0233h sb 90 house form via URL. You can also download, print, or export forms to your preferred cloud storage service.
Editing 0642s0233h sb 90 house online
To use the professional PDF editor, follow these steps:
1
Log in to your account. Start Free Trial and sign up a profile if you don't have one yet.
2
Prepare a file. Use the Add New button to start a new project. Then, using your device, upload your file to the system by importing it from internal mail, the cloud, or adding its URL.
3
Edit 0642s0233h sb 90 house. Add and change text, add new objects, move pages, add watermarks and page numbers, and more. Then click Done when you're done editing and go to the Documents tab to merge or split the file. If you want to lock or unlock the file, click the lock or unlock button.
4
Save your file. Select it from your list of records. Then, move your cursor to the right toolbar and choose one of the exporting options. You can save it in multiple formats, download it as a PDF, send it by email, or store it in the cloud, among other things.
The use of pdfFiller makes dealing with documents straightforward. Try it now!
Uncompromising security for your PDF editing and eSignature needs
Your private information is safe with pdfFiller. We employ end-to-end encryption, secure cloud storage, and advanced access control to protect your documents and maintain regulatory compliance.
Fill
form
: Try Risk Free
For pdfFiller’s FAQs
Below is a list of the most common customer questions. If you can’t find an answer to your question, please don’t hesitate to reach out to us.
Where do I find 0642s0233h sb 90 house?
The premium version of pdfFiller gives you access to a huge library of fillable forms (more than 25 million fillable templates). You can download, fill out, print, and sign them all. State-specific 0642s0233h sb 90 house and other forms will be easy to find in the library. Find the template you need and use advanced editing tools to make it your own.
Can I create an eSignature for the 0642s0233h sb 90 house in Gmail?
You can easily create your eSignature with pdfFiller and then eSign your 0642s0233h sb 90 house directly from your inbox with the help of pdfFiller’s add-on for Gmail. Please note that you must register for an account in order to save your signatures and signed documents.
How can I edit 0642s0233h sb 90 house on a smartphone?
You can easily do so with pdfFiller's apps for iOS and Android devices, which can be found at the Apple Store and the Google Play Store, respectively. You can use them to fill out PDFs. We have a website where you can get the app, but you can also get it there. When you install the app, log in, and start editing 0642s0233h sb 90 house, you can start right away.
What is 0642s0233h sb 90 house?
0642s0233h sb 90 house is a specific tax form or declaration related to certain legislative or taxation matters. It is often used for compliance with state or federal regulations.
Who is required to file 0642s0233h sb 90 house?
Entities or individuals that meet specific income or business criteria that fall under the guidelines set by the relevant tax authority are required to file 0642s0233h sb 90 house.
How to fill out 0642s0233h sb 90 house?
To fill out 0642s0233h sb 90 house, begin by gathering necessary financial documents, accurately input your financial information, ensure all sections are completed, and review for compliance with instructions.
What is the purpose of 0642s0233h sb 90 house?
The purpose of 0642s0233h sb 90 house is to provide tax authorities with a comprehensive report of specific financial information necessary for tax assessment and compliance.
What information must be reported on 0642s0233h sb 90 house?
Information required on 0642s0233h sb 90 house typically includes income details, deductions, credits, and other relevant financial data specified by tax guidelines.
Fill out your 0642s0233h sb 90 house online with pdfFiller!
pdfFiller is an end-to-end solution for managing, creating, and editing documents and forms in the cloud. Save time and hassle by preparing your tax forms online.

0642S0233H Sb 90 House is not the form you're looking for?Search for another form here.
Relevant keywords
Related Forms
If you believe that this page should be taken down, please follow our DMCA take down process
here
.
This form may include fields for payment information. Data entered in these fields is not covered by PCI DSS compliance.