
Get the free HOUSEBOAT MANAGEMENT SERVICES, INC USERS
Show details
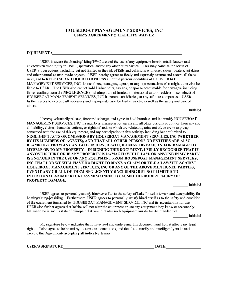
HOUSEBOAT MANAGEMENT SERVICES, INC USERS AGREEMENT & LIABILITY WAIVEREQUIPMENT : USER is aware that boating/skiing/PwC use and the use of any equipment herein entails known and unknown risks of injury
We are not affiliated with any brand or entity on this form
Get, Create, Make and Sign houseboat management services inc

Edit your houseboat management services inc form online
Type text, complete fillable fields, insert images, highlight or blackout data for discretion, add comments, and more.

Add your legally-binding signature
Draw or type your signature, upload a signature image, or capture it with your digital camera.

Share your form instantly
Email, fax, or share your houseboat management services inc form via URL. You can also download, print, or export forms to your preferred cloud storage service.
How to edit houseboat management services inc online
In order to make advantage of the professional PDF editor, follow these steps below:
1
Log in to account. Start Free Trial and sign up a profile if you don't have one yet.
2
Prepare a file. Use the Add New button to start a new project. Then, using your device, upload your file to the system by importing it from internal mail, the cloud, or adding its URL.
3
Edit houseboat management services inc. Text may be added and replaced, new objects can be included, pages can be rearranged, watermarks and page numbers can be added, and so on. When you're done editing, click Done and then go to the Documents tab to combine, divide, lock, or unlock the file.
4
Save your file. Select it from your list of records. Then, move your cursor to the right toolbar and choose one of the exporting options. You can save it in multiple formats, download it as a PDF, send it by email, or store it in the cloud, among other things.
With pdfFiller, it's always easy to work with documents.
Uncompromising security for your PDF editing and eSignature needs
Your private information is safe with pdfFiller. We employ end-to-end encryption, secure cloud storage, and advanced access control to protect your documents and maintain regulatory compliance.
How to fill out houseboat management services inc

How to fill out houseboat management services inc
01
To fill out Houseboat Management Services Inc. form, follow these steps:
02
Start by providing your personal information such as your name, address, and contact details.
03
Specify the type of houseboat you own or manage and provide all the necessary details about the boat.
04
Include information about the amenities and facilities available on the houseboat.
05
Provide details about the pricing and rental policies for the houseboat.
06
Describe any additional services or packages offered by your management company.
07
Attach any supporting documents or photos of the houseboat if required.
08
Review the completed form to ensure all the information is accurate and complete.
09
Sign and date the form to confirm your agreement with Houseboat Management Services Inc.
10
Submit the filled-out form either online or through the designated submission method provided.
Who needs houseboat management services inc?
01
Houseboat Management Services Inc. is needed by individuals or businesses who own or manage houseboats and require professional services to handle the management and operation of their houseboat rentals.
02
This can include houseboat owners who are unable to manage the rental process themselves or individuals who are looking to invest in houseboats and need assistance with management and marketing.
03
Houseboat Management Services Inc. can also be useful for marinas or resorts that offer houseboat rentals as part of their services and require a reliable management company to handle the operations efficiently.
Fill
form
: Try Risk Free
For pdfFiller’s FAQs
Below is a list of the most common customer questions. If you can’t find an answer to your question, please don’t hesitate to reach out to us.
How can I edit houseboat management services inc from Google Drive?
By combining pdfFiller with Google Docs, you can generate fillable forms directly in Google Drive. No need to leave Google Drive to make edits or sign documents, including houseboat management services inc. Use pdfFiller's features in Google Drive to handle documents on any internet-connected device.
Can I create an eSignature for the houseboat management services inc in Gmail?
When you use pdfFiller's add-on for Gmail, you can add or type a signature. You can also draw a signature. pdfFiller lets you eSign your houseboat management services inc and other documents right from your email. In order to keep signed documents and your own signatures, you need to sign up for an account.
How can I edit houseboat management services inc on a smartphone?
The pdfFiller apps for iOS and Android smartphones are available in the Apple Store and Google Play Store. You may also get the program at https://edit-pdf-ios-android.pdffiller.com/. Open the web app, sign in, and start editing houseboat management services inc.
What is houseboat management services inc?
Houseboat Management Services Inc is a company that specializes in managing and maintaining houseboats for clients.
Who is required to file houseboat management services inc?
Houseboat Management Services Inc is required to file by any individual or entity that owns or operates a houseboat.
How to fill out houseboat management services inc?
To fill out Houseboat Management Services Inc, you will need to provide details about the ownership or operation of the houseboat, as well as any relevant financial information.
What is the purpose of houseboat management services inc?
The purpose of Houseboat Management Services Inc is to ensure that houseboats are properly managed and maintained, and that all necessary regulatory requirements are met.
What information must be reported on houseboat management services inc?
Information that must be reported on Houseboat Management Services Inc includes details about the ownership or operation of the houseboat, as well as any financial information related to its management.
Fill out your houseboat management services inc online with pdfFiller!
pdfFiller is an end-to-end solution for managing, creating, and editing documents and forms in the cloud. Save time and hassle by preparing your tax forms online.

Houseboat Management Services Inc is not the form you're looking for?Search for another form here.
Relevant keywords
Related Forms
If you believe that this page should be taken down, please follow our DMCA take down process
here
.
This form may include fields for payment information. Data entered in these fields is not covered by PCI DSS compliance.