
Get the free Seeking advise from a Land Attorney. I've purchased a ...
Show details
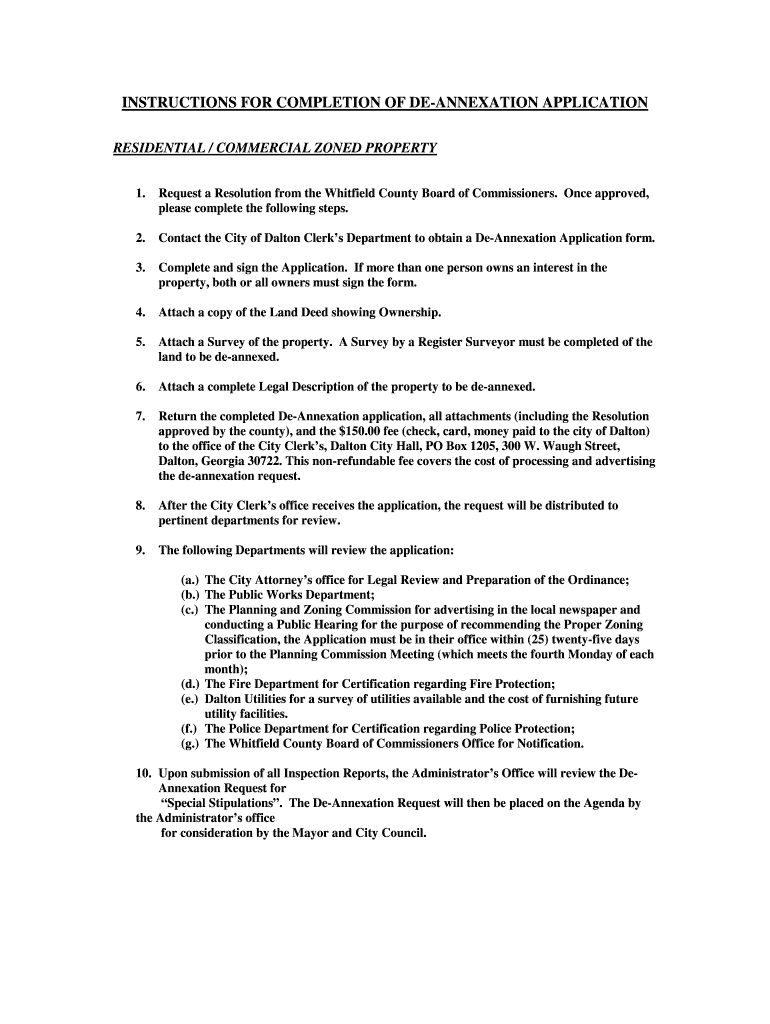
INSTRUCTIONS FOR COMPLETION OF ANNEXATION APPLICATION
RESIDENTIAL / COMMERCIAL ZONED PROPERTY
1. Request a Resolution from the Whitfield County Board of Commissioners. Once approved,
please complete
We are not affiliated with any brand or entity on this form
Get, Create, Make and Sign seeking advise from a

Edit your seeking advise from a form online
Type text, complete fillable fields, insert images, highlight or blackout data for discretion, add comments, and more.

Add your legally-binding signature
Draw or type your signature, upload a signature image, or capture it with your digital camera.

Share your form instantly
Email, fax, or share your seeking advise from a form via URL. You can also download, print, or export forms to your preferred cloud storage service.
How to edit seeking advise from a online
Follow the steps below to benefit from the PDF editor's expertise:
1
Set up an account. If you are a new user, click Start Free Trial and establish a profile.
2
Upload a document. Select Add New on your Dashboard and transfer a file into the system in one of the following ways: by uploading it from your device or importing from the cloud, web, or internal mail. Then, click Start editing.
3
Edit seeking advise from a. Add and change text, add new objects, move pages, add watermarks and page numbers, and more. Then click Done when you're done editing and go to the Documents tab to merge or split the file. If you want to lock or unlock the file, click the lock or unlock button.
4
Save your file. Choose it from the list of records. Then, shift the pointer to the right toolbar and select one of the several exporting methods: save it in multiple formats, download it as a PDF, email it, or save it to the cloud.
pdfFiller makes dealing with documents a breeze. Create an account to find out!
Uncompromising security for your PDF editing and eSignature needs
Your private information is safe with pdfFiller. We employ end-to-end encryption, secure cloud storage, and advanced access control to protect your documents and maintain regulatory compliance.
How to fill out seeking advise from a

How to fill out seeking advise from a
01
Start by identifying the specific area you need advice on, such as career, relationships, or personal finance.
02
Research and gather information about potential advisors who specialize in the area you need help with.
03
Contact the advisor through a phone call, email, or online platform to schedule an appointment or consultation.
04
Prepare a list of questions or points you want to discuss during the meeting.
05
During the meeting, be open and honest about your concerns and goals, and actively listen to the advisor's advice.
06
Take notes during the meeting to remember the advice given and any action steps recommended.
07
After the meeting, reflect on the advice received and decide on any necessary actions or changes.
08
Follow up with the advisor if you have any further questions or need additional guidance.
09
Implement the advice given and evaluate the results. Adjust your approach if needed.
10
Thank the advisor for their time and assistance.
Who needs seeking advise from a?
01
Anyone who is facing a specific problem or decision and needs guidance from someone with expertise or experience in that area.
02
Individuals who are seeking to improve their knowledge, skills, or abilities.
03
People who may feel stuck or unsure of the best course of action and need an outside perspective.
04
Those who want to explore new opportunities or consider alternative options.
05
Someone who wants to avoid potential pitfalls and make informed choices.
Fill
form
: Try Risk Free
For pdfFiller’s FAQs
Below is a list of the most common customer questions. If you can’t find an answer to your question, please don’t hesitate to reach out to us.
How do I complete seeking advise from a online?
pdfFiller has made it easy to fill out and sign seeking advise from a. You can use the solution to change and move PDF content, add fields that can be filled in, and sign the document electronically. Start a free trial of pdfFiller, the best tool for editing and filling in documents.
Can I create an electronic signature for the seeking advise from a in Chrome?
Yes. By adding the solution to your Chrome browser, you may use pdfFiller to eSign documents while also enjoying all of the PDF editor's capabilities in one spot. Create a legally enforceable eSignature by sketching, typing, or uploading a photo of your handwritten signature using the extension. Whatever option you select, you'll be able to eSign your seeking advise from a in seconds.
How do I fill out the seeking advise from a form on my smartphone?
On your mobile device, use the pdfFiller mobile app to complete and sign seeking advise from a. Visit our website (https://edit-pdf-ios-android.pdffiller.com/) to discover more about our mobile applications, the features you'll have access to, and how to get started.
What is seeking advise from a?
Seeking advice from a professional or knowledgeable person for guidance or recommendations.
Who is required to file seeking advise from a?
Individuals or organizations seeking guidance or recommendations from a knowledgeable person.
How to fill out seeking advise from a?
Provide relevant information and details regarding the situation or issue for which advice is needed.
What is the purpose of seeking advise from a?
To receive expert recommendations or guidance on a particular matter or issue.
What information must be reported on seeking advise from a?
Details of the situation or issue requiring advice, any relevant background information.
Fill out your seeking advise from a online with pdfFiller!
pdfFiller is an end-to-end solution for managing, creating, and editing documents and forms in the cloud. Save time and hassle by preparing your tax forms online.

Seeking Advise From A is not the form you're looking for?Search for another form here.
Relevant keywords
Related Forms
If you believe that this page should be taken down, please follow our DMCA take down process
here
.
This form may include fields for payment information. Data entered in these fields is not covered by PCI DSS compliance.