Get the free Sample Assignment 1: Workflow Analysis Directions - UMN ...
Show details
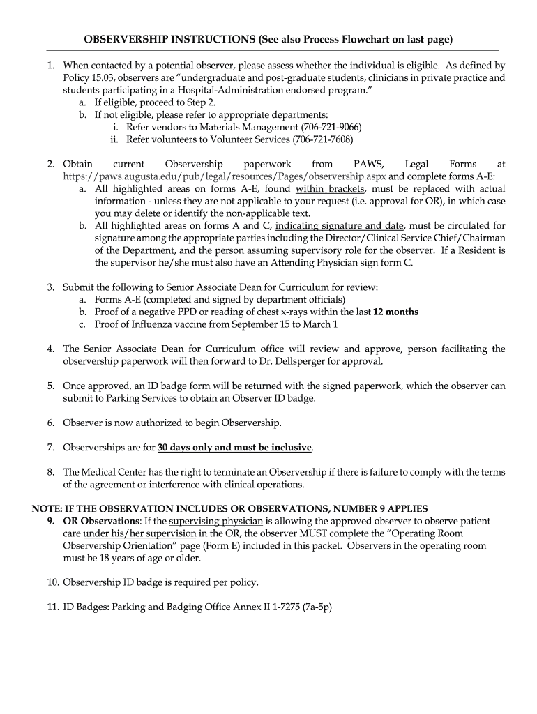
OBSERVERSHIP INSTRUCTIONS (See also Process Flowchart on last page)
1. When contacted by a potential observer, please assess whether the individual is eligible. As defined by
Policy 15.03, observers
We are not affiliated with any brand or entity on this form
Get, Create, Make and Sign sample assignment 1 workflow
Edit your sample assignment 1 workflow form online
Type text, complete fillable fields, insert images, highlight or blackout data for discretion, add comments, and more.
Add your legally-binding signature
Draw or type your signature, upload a signature image, or capture it with your digital camera.
Share your form instantly
Email, fax, or share your sample assignment 1 workflow form via URL. You can also download, print, or export forms to your preferred cloud storage service.
Editing sample assignment 1 workflow online
In order to make advantage of the professional PDF editor, follow these steps below:
1
Set up an account. If you are a new user, click Start Free Trial and establish a profile.
2
Upload a file. Select Add New on your Dashboard and upload a file from your device or import it from the cloud, online, or internal mail. Then click Edit.
3
Edit sample assignment 1 workflow. Add and change text, add new objects, move pages, add watermarks and page numbers, and more. Then click Done when you're done editing and go to the Documents tab to merge or split the file. If you want to lock or unlock the file, click the lock or unlock button.
4
Get your file. When you find your file in the docs list, click on its name and choose how you want to save it. To get the PDF, you can save it, send an email with it, or move it to the cloud.
pdfFiller makes working with documents easier than you could ever imagine. Register for an account and see for yourself!
Uncompromising security for your PDF editing and eSignature needs
Your private information is safe with pdfFiller. We employ end-to-end encryption, secure cloud storage, and advanced access control to protect your documents and maintain regulatory compliance.
How to fill out sample assignment 1 workflow
How to fill out sample assignment 1 workflow
01
To fill out sample assignment 1 workflow, follow the steps below:
02
Open the sample assignment 1 workflow document
03
Read the instructions and requirements carefully
04
Fill in the necessary details in the provided fields, such as name, date, and project description
05
Review the workflow diagram to understand the flow of the assignment
06
Identify the tasks or steps required to complete the assignment
07
Fill in the task details and assign them to the appropriate team members
08
If there are any dependencies between tasks, indicate them accordingly
09
Double-check all the entered information for accuracy and completeness
10
Save the filled-out sample assignment 1 workflow document
11
Submit the document as per the designated submission method
Who needs sample assignment 1 workflow?
01
Sample assignment 1 workflow is needed by individuals or organizations who want to understand and implement a specific workflow for a given assignment or project.
02
It can be useful for project managers, team leaders, or any individual involved in the assignment to have a clear and organized workflow to follow.
03
The sample assignment 1 workflow can serve as a template or guide to ensure that the assignment is executed efficiently and effectively.
Fill
form
: Try Risk Free
For pdfFiller’s FAQs
Below is a list of the most common customer questions. If you can’t find an answer to your question, please don’t hesitate to reach out to us.
How do I make changes in sample assignment 1 workflow?
The editing procedure is simple with pdfFiller. Open your sample assignment 1 workflow in the editor, which is quite user-friendly. You may use it to blackout, redact, write, and erase text, add photos, draw arrows and lines, set sticky notes and text boxes, and much more.
How do I make edits in sample assignment 1 workflow without leaving Chrome?
Adding the pdfFiller Google Chrome Extension to your web browser will allow you to start editing sample assignment 1 workflow and other documents right away when you search for them on a Google page. People who use Chrome can use the service to make changes to their files while they are on the Chrome browser. pdfFiller lets you make fillable documents and make changes to existing PDFs from any internet-connected device.
How can I fill out sample assignment 1 workflow on an iOS device?
In order to fill out documents on your iOS device, install the pdfFiller app. Create an account or log in to an existing one if you have a subscription to the service. Once the registration process is complete, upload your sample assignment 1 workflow. You now can take advantage of pdfFiller's advanced functionalities: adding fillable fields and eSigning documents, and accessing them from any device, wherever you are.
What is sample assignment 1 workflow?
Sample assignment 1 workflow outlines the steps and processes involved in completing a specific assignment.
Who is required to file sample assignment 1 workflow?
All employees working on the assignment are required to file the sample assignment 1 workflow.
How to fill out sample assignment 1 workflow?
To fill out the sample assignment 1 workflow, employees need to provide detailed information about the tasks, timelines, and resources required for the assignment.
What is the purpose of sample assignment 1 workflow?
The purpose of sample assignment 1 workflow is to ensure that all tasks related to the assignment are completed efficiently and within the set timeline.
What information must be reported on sample assignment 1 workflow?
Information such as task descriptions, assigned team members, deadlines, and resources needed must be reported on the sample assignment 1 workflow.
Fill out your sample assignment 1 workflow online with pdfFiller!
pdfFiller is an end-to-end solution for managing, creating, and editing documents and forms in the cloud. Save time and hassle by preparing your tax forms online.
Sample Assignment 1 Workflow is not the form you're looking for?Search for another form here.
Relevant keywords
Related Forms
If you believe that this page should be taken down, please follow our DMCA take down process
here
.
This form may include fields for payment information. Data entered in these fields is not covered by PCI DSS compliance.