Get the free Notice of Appeal Rights and Time to File a Petition for Post-Conviction Relief/Powia...
Show details
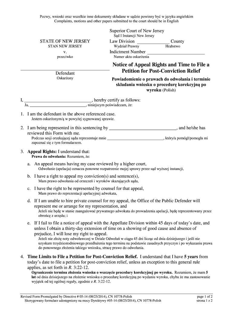
SavePrintClearPozwy, wiki oral wheelie nine document Skåne w Suzie pointy by w Izuku angielskim
Complaints, motions and other papers submitted to the court should be in English Superior Court of
We are not affiliated with any brand or entity on this form
Get, Create, Make and Sign notice of appeal rights
Edit your notice of appeal rights form online
Type text, complete fillable fields, insert images, highlight or blackout data for discretion, add comments, and more.
Add your legally-binding signature
Draw or type your signature, upload a signature image, or capture it with your digital camera.
Share your form instantly
Email, fax, or share your notice of appeal rights form via URL. You can also download, print, or export forms to your preferred cloud storage service.
How to edit notice of appeal rights online
Use the instructions below to start using our professional PDF editor:
1
Set up an account. If you are a new user, click Start Free Trial and establish a profile.
2
Prepare a file. Use the Add New button. Then upload your file to the system from your device, importing it from internal mail, the cloud, or by adding its URL.
3
Edit notice of appeal rights. Rearrange and rotate pages, add and edit text, and use additional tools. To save changes and return to your Dashboard, click Done. The Documents tab allows you to merge, divide, lock, or unlock files.
4
Get your file. Select your file from the documents list and pick your export method. You may save it as a PDF, email it, or upload it to the cloud.
With pdfFiller, it's always easy to work with documents.
Uncompromising security for your PDF editing and eSignature needs
Your private information is safe with pdfFiller. We employ end-to-end encryption, secure cloud storage, and advanced access control to protect your documents and maintain regulatory compliance.
How to fill out notice of appeal rights
How to fill out notice of appeal rights
01
Begin by reading the notice of appeal rights form carefully.
02
Fill in your personal information, including your name, address, phone number, and email address.
03
Check the appropriate box to indicate whether you are an individual taxpayer, a business taxpayer, or another type of taxpayer.
04
If applicable, provide your taxpayer identification number (SSN or EIN).
05
Sign and date the form.
06
Make a copy of the completed form for your records.
07
Send the original form to the designated recipient as indicated on the form, typically the appropriate government agency.
Who needs notice of appeal rights?
01
Anyone who is considering filing an appeal against a decision made by a government agency or entity may need a notice of appeal rights. This includes individuals and businesses who want to challenge a decision related to taxes, licenses, permits, penalties, or other legal matters.
Fill
form
: Try Risk Free
For pdfFiller’s FAQs
Below is a list of the most common customer questions. If you can’t find an answer to your question, please don’t hesitate to reach out to us.
How can I manage my notice of appeal rights directly from Gmail?
Using pdfFiller's Gmail add-on, you can edit, fill out, and sign your notice of appeal rights and other papers directly in your email. You may get it through Google Workspace Marketplace. Make better use of your time by handling your papers and eSignatures.
How can I get notice of appeal rights?
The premium version of pdfFiller gives you access to a huge library of fillable forms (more than 25 million fillable templates). You can download, fill out, print, and sign them all. State-specific notice of appeal rights and other forms will be easy to find in the library. Find the template you need and use advanced editing tools to make it your own.
How do I edit notice of appeal rights on an Android device?
The pdfFiller app for Android allows you to edit PDF files like notice of appeal rights. Mobile document editing, signing, and sending. Install the app to ease document management anywhere.
What is notice of appeal rights?
The notice of appeal rights is a document that informs individuals of their right to appeal a decision.
Who is required to file notice of appeal rights?
Anyone who is not satisfied with a decision and wishes to appeal it is required to file a notice of appeal rights.
How to fill out notice of appeal rights?
To fill out a notice of appeal rights, one must include their name, case number, reasons for appeal, and signature.
What is the purpose of notice of appeal rights?
The purpose of the notice of appeal rights is to ensure individuals are aware of their right to challenge a decision.
What information must be reported on notice of appeal rights?
The notice of appeal rights should include the individual's name, case number, reasons for appeal, and signature.
Fill out your notice of appeal rights online with pdfFiller!
pdfFiller is an end-to-end solution for managing, creating, and editing documents and forms in the cloud. Save time and hassle by preparing your tax forms online.
Notice Of Appeal Rights is not the form you're looking for?Search for another form here.
Relevant keywords
Related Forms
If you believe that this page should be taken down, please follow our DMCA take down process
here
.
This form may include fields for payment information. Data entered in these fields is not covered by PCI DSS compliance.