
Get the free Running Start Enrollment Packet - Green River College
Show details
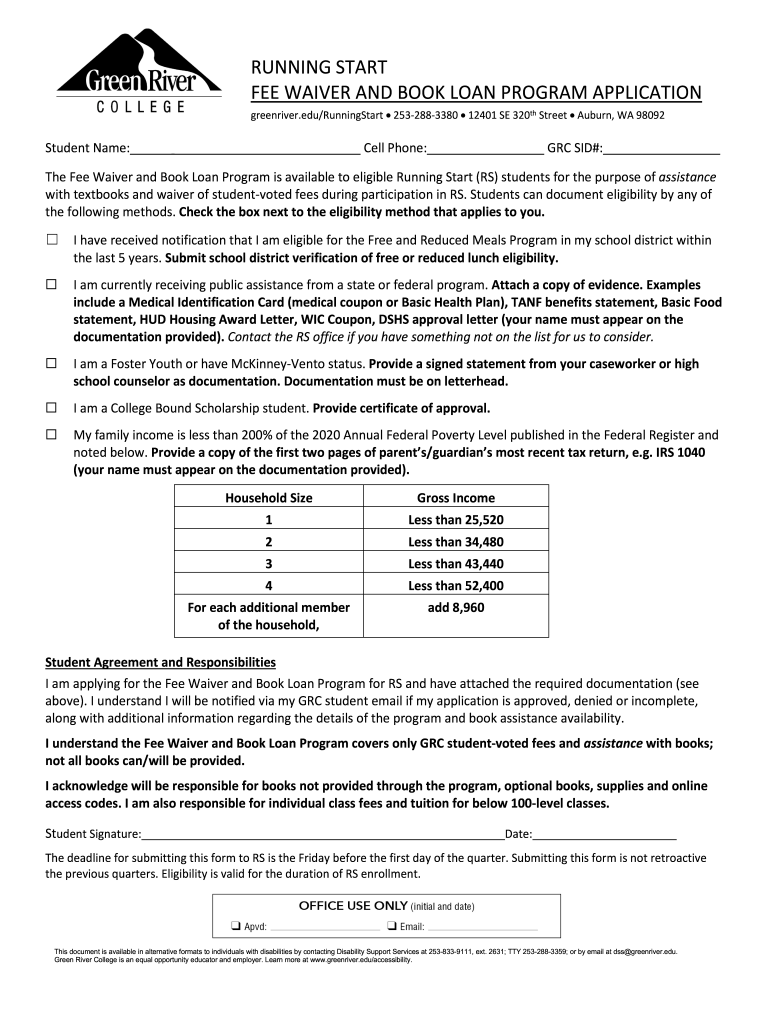
RUNNING START FEE WAIVER AND BOOK LOAN PROGRAM APPLICATION greenriver.edu/RunningStart 2532883380 12401 SE 320th Street Auburn, WA 98092Student Name: Cell Phone: GRC SID#: The Fee Waiver and Book
We are not affiliated with any brand or entity on this form
Get, Create, Make and Sign running start enrollment packet

Edit your running start enrollment packet form online
Type text, complete fillable fields, insert images, highlight or blackout data for discretion, add comments, and more.

Add your legally-binding signature
Draw or type your signature, upload a signature image, or capture it with your digital camera.

Share your form instantly
Email, fax, or share your running start enrollment packet form via URL. You can also download, print, or export forms to your preferred cloud storage service.
How to edit running start enrollment packet online
Use the instructions below to start using our professional PDF editor:
1
Create an account. Begin by choosing Start Free Trial and, if you are a new user, establish a profile.
2
Simply add a document. Select Add New from your Dashboard and import a file into the system by uploading it from your device or importing it via the cloud, online, or internal mail. Then click Begin editing.
3
Edit running start enrollment packet. Add and replace text, insert new objects, rearrange pages, add watermarks and page numbers, and more. Click Done when you are finished editing and go to the Documents tab to merge, split, lock or unlock the file.
4
Get your file. Select your file from the documents list and pick your export method. You may save it as a PDF, email it, or upload it to the cloud.
With pdfFiller, it's always easy to work with documents. Try it out!
Uncompromising security for your PDF editing and eSignature needs
Your private information is safe with pdfFiller. We employ end-to-end encryption, secure cloud storage, and advanced access control to protect your documents and maintain regulatory compliance.
How to fill out running start enrollment packet

How to fill out running start enrollment packet
01
Begin by reviewing the enrollment guidelines provided by your school or college.
02
Gather all the necessary documents required for the enrollment packet, such as proof of residency, identification, and transcripts.
03
Fill out the personal information section of the enrollment form, including your name, address, contact information, and social security number.
04
Provide information about your current school or homeschooling program, including the name, address, and contact information.
05
Indicate the courses you wish to take and include the course codes, names, and any additional information required by your school or college.
06
Fill out the financial aid section if applicable, providing details about your eligibility and need for assistance.
07
Review the completed enrollment packet to ensure all information is accurate and complete.
08
Submit the packet to the designated office or department within your school or college before the specified deadline.
09
Follow up with the school or college to confirm that your enrollment packet has been received and processed.
Who needs running start enrollment packet?
01
Running Start program is typically designed for high school students who wish to take college-level courses and earn both high school and college credits simultaneously.
02
These students may have demonstrated strong academic abilities and a desire to challenge themselves with more advanced coursework.
03
It is best to consult with your school counselor or advisor to determine if you are eligible and would benefit from the Running Start program.
04
They will be able to provide specific information about the enrollment process and requirements.
Fill
form
: Try Risk Free
For pdfFiller’s FAQs
Below is a list of the most common customer questions. If you can’t find an answer to your question, please don’t hesitate to reach out to us.
Can I create an electronic signature for signing my running start enrollment packet in Gmail?
You may quickly make your eSignature using pdfFiller and then eSign your running start enrollment packet right from your mailbox using pdfFiller's Gmail add-on. Please keep in mind that in order to preserve your signatures and signed papers, you must first create an account.
How do I fill out the running start enrollment packet form on my smartphone?
The pdfFiller mobile app makes it simple to design and fill out legal paperwork. Complete and sign running start enrollment packet and other papers using the app. Visit pdfFiller's website to learn more about the PDF editor's features.
How do I edit running start enrollment packet on an iOS device?
You can. Using the pdfFiller iOS app, you can edit, distribute, and sign running start enrollment packet. Install it in seconds at the Apple Store. The app is free, but you must register to buy a subscription or start a free trial.
What is running start enrollment packet?
The running start enrollment packet is a set of forms and documents that must be completed and submitted by high school students who wish to participate in the running start program at a community college.
Who is required to file running start enrollment packet?
High school students who wish to participate in the running start program at a community college are required to file the running start enrollment packet.
How to fill out running start enrollment packet?
The running start enrollment packet can be filled out by following the instructions provided in the packet or by contacting the running start program coordinator at the community college.
What is the purpose of running start enrollment packet?
The purpose of the running start enrollment packet is to gather information about the student and ensure that they meet the eligibility requirements for the running start program.
What information must be reported on running start enrollment packet?
The running start enrollment packet typically requires information such as the student's personal details, high school transcripts, and any relevant test scores.
Fill out your running start enrollment packet online with pdfFiller!
pdfFiller is an end-to-end solution for managing, creating, and editing documents and forms in the cloud. Save time and hassle by preparing your tax forms online.

Running Start Enrollment Packet is not the form you're looking for?Search for another form here.
Relevant keywords
Related Forms
If you believe that this page should be taken down, please follow our DMCA take down process
here
.
This form may include fields for payment information. Data entered in these fields is not covered by PCI DSS compliance.