
Get the free public notices & the courts - Recession & its Impact on Credit ...
Show details
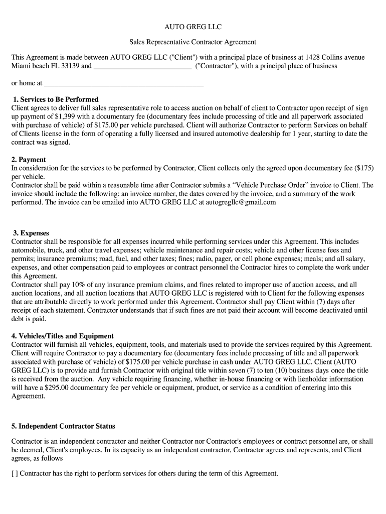
AUTO GREG LLC Sales Representative Contractor Agreement This Agreement is made between AUTO GREG LLC (“Client “) with a principal place of business at 1428 Collins avenue Miami Beach FL 33139
We are not affiliated with any brand or entity on this form
Get, Create, Make and Sign public notices ampamp form

Edit your public notices ampamp form form online
Type text, complete fillable fields, insert images, highlight or blackout data for discretion, add comments, and more.

Add your legally-binding signature
Draw or type your signature, upload a signature image, or capture it with your digital camera.

Share your form instantly
Email, fax, or share your public notices ampamp form form via URL. You can also download, print, or export forms to your preferred cloud storage service.
How to edit public notices ampamp form online
Follow the guidelines below to take advantage of the professional PDF editor:
1
Check your account. If you don't have a profile yet, click Start Free Trial and sign up for one.
2
Simply add a document. Select Add New from your Dashboard and import a file into the system by uploading it from your device or importing it via the cloud, online, or internal mail. Then click Begin editing.
3
Edit public notices ampamp form. Add and replace text, insert new objects, rearrange pages, add watermarks and page numbers, and more. Click Done when you are finished editing and go to the Documents tab to merge, split, lock or unlock the file.
4
Get your file. When you find your file in the docs list, click on its name and choose how you want to save it. To get the PDF, you can save it, send an email with it, or move it to the cloud.
pdfFiller makes working with documents easier than you could ever imagine. Create an account to find out for yourself how it works!
Uncompromising security for your PDF editing and eSignature needs
Your private information is safe with pdfFiller. We employ end-to-end encryption, secure cloud storage, and advanced access control to protect your documents and maintain regulatory compliance.
How to fill out public notices ampamp form

How to fill out public notices ampamp form
01
Start by obtaining the public notices form.
02
Carefully read the instructions on the form to understand how to fill it out correctly.
03
Gather all the necessary information and documents that are required to complete the form.
04
Begin by entering your personal information such as your name, address, and contact details in the appropriate sections of the form.
05
Follow the instructions on the form to provide any additional details or information that may be required.
06
Double-check all the information entered to ensure accuracy and completeness.
07
Sign and date the form where necessary.
08
Review the completed form once again to make sure everything is filled out correctly.
09
Submit the filled-out public notices form as per the instructions provided.
Who needs public notices ampamp form?
01
Anyone who is required by law or regulations to provide public notices needs to fill out and submit the public notices form.
02
This may include individuals, businesses, organizations, or government entities that are required to inform the public about certain events, actions, or decisions.
03
The specific requirements for who needs to file public notices and the related form may vary depending on the jurisdiction and the nature of the notice.
Fill
form
: Try Risk Free
For pdfFiller’s FAQs
Below is a list of the most common customer questions. If you can’t find an answer to your question, please don’t hesitate to reach out to us.
How can I edit public notices ampamp form from Google Drive?
By integrating pdfFiller with Google Docs, you can streamline your document workflows and produce fillable forms that can be stored directly in Google Drive. Using the connection, you will be able to create, change, and eSign documents, including public notices ampamp form, all without having to leave Google Drive. Add pdfFiller's features to Google Drive and you'll be able to handle your documents more effectively from any device with an internet connection.
How do I make edits in public notices ampamp form without leaving Chrome?
Download and install the pdfFiller Google Chrome Extension to your browser to edit, fill out, and eSign your public notices ampamp form, which you can open in the editor with a single click from a Google search page. Fillable documents may be executed from any internet-connected device without leaving Chrome.
How do I fill out the public notices ampamp form form on my smartphone?
You can quickly make and fill out legal forms with the help of the pdfFiller app on your phone. Complete and sign public notices ampamp form and other documents on your mobile device using the application. If you want to learn more about how the PDF editor works, go to pdfFiller.com.
What is public notices ampamp form?
Public notices ampamp form is a document that contains information about a company's activities, financial status, and other important details that need to be disclosed to the public.
Who is required to file public notices ampamp form?
Public notices ampamp form is required to be filed by all companies that are publicly traded or have a significant impact on the economy or society.
How to fill out public notices ampamp form?
Public notices ampamp form can be filled out online or manually, following the specific instructions provided by the regulatory authorities.
What is the purpose of public notices ampamp form?
The purpose of public notices ampamp form is to ensure transparency and accountability in the operations of companies and to keep the public informed about their activities.
What information must be reported on public notices ampamp form?
Public notices ampamp form typically requires information about the company's financial performance, governance structure, major events, and risks.
Fill out your public notices ampamp form online with pdfFiller!
pdfFiller is an end-to-end solution for managing, creating, and editing documents and forms in the cloud. Save time and hassle by preparing your tax forms online.

Public Notices Ampamp Form is not the form you're looking for?Search for another form here.
Relevant keywords
Related Forms
If you believe that this page should be taken down, please follow our DMCA take down process
here
.
This form may include fields for payment information. Data entered in these fields is not covered by PCI DSS compliance.