
Get the free Van Request Form-1
Show details
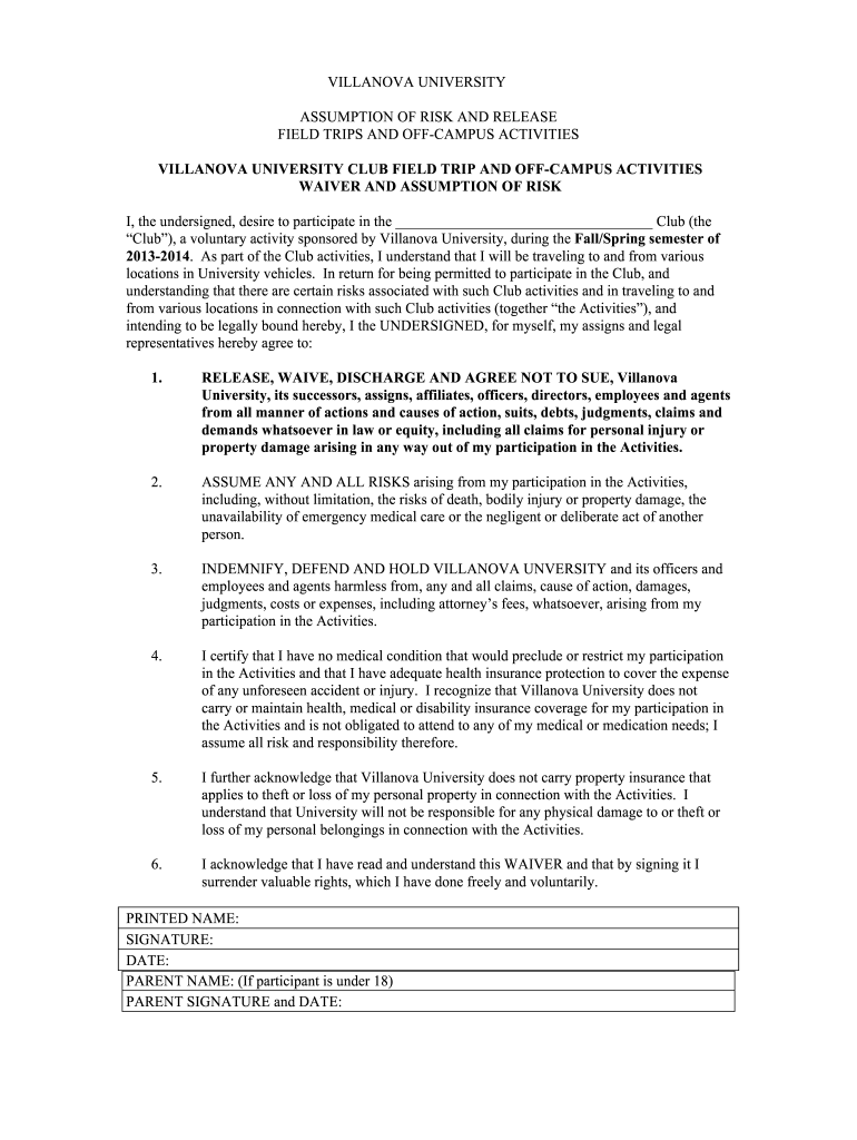
VILLANOVA UNIVERSITY ASSUMPTION OF RISK AND RELEASE FIELD TRIPS AND CAMPUS ACTIVITIES VILLANOVA UNIVERSITY CLUB FIELD TRIP AND CAMPUS ACTIVITIES WAIVER AND ASSUMPTION OF RISK I, the undersigned, desire
We are not affiliated with any brand or entity on this form
Get, Create, Make and Sign van request form-1

Edit your van request form-1 form online
Type text, complete fillable fields, insert images, highlight or blackout data for discretion, add comments, and more.

Add your legally-binding signature
Draw or type your signature, upload a signature image, or capture it with your digital camera.

Share your form instantly
Email, fax, or share your van request form-1 form via URL. You can also download, print, or export forms to your preferred cloud storage service.
How to edit van request form-1 online
To use the services of a skilled PDF editor, follow these steps:
1
Create an account. Begin by choosing Start Free Trial and, if you are a new user, establish a profile.
2
Prepare a file. Use the Add New button. Then upload your file to the system from your device, importing it from internal mail, the cloud, or by adding its URL.
3
Edit van request form-1. Add and replace text, insert new objects, rearrange pages, add watermarks and page numbers, and more. Click Done when you are finished editing and go to the Documents tab to merge, split, lock or unlock the file.
4
Get your file. Select the name of your file in the docs list and choose your preferred exporting method. You can download it as a PDF, save it in another format, send it by email, or transfer it to the cloud.
With pdfFiller, it's always easy to work with documents.
Uncompromising security for your PDF editing and eSignature needs
Your private information is safe with pdfFiller. We employ end-to-end encryption, secure cloud storage, and advanced access control to protect your documents and maintain regulatory compliance.
How to fill out van request form-1

How to fill out van request form-1
01
Start by accessing the van request form-1 on the designated platform or website.
02
Fill in your personal details such as name, contact information, and employee ID.
03
Provide the date and time of the van request, along with the desired pick-up and drop-off locations.
04
Indicate the purpose of the van request, whether it is for official business, personal use, or any other specified reason.
05
Specify the number of passengers who will be using the van.
06
If there are any special requirements or instructions for the van service, mention them in the designated section.
07
Review the information provided and make sure all the necessary fields are filled accurately.
08
Submit the form by clicking on the 'Submit' or 'Send' button.
09
Wait for confirmation or further instructions regarding your van request from the designated authority.
Who needs van request form-1?
01
Van request form-1 is typically required by employees or individuals who need to book a van for transportation purposes. This form is commonly used in organizations, companies, or institutions where van services are provided for various reasons such as office outings, official trips, airport transfers, corporate events, etc.
Fill
form
: Try Risk Free
For pdfFiller’s FAQs
Below is a list of the most common customer questions. If you can’t find an answer to your question, please don’t hesitate to reach out to us.
How can I manage my van request form-1 directly from Gmail?
In your inbox, you may use pdfFiller's add-on for Gmail to generate, modify, fill out, and eSign your van request form-1 and any other papers you receive, all without leaving the program. Install pdfFiller for Gmail from the Google Workspace Marketplace by visiting this link. Take away the need for time-consuming procedures and handle your papers and eSignatures with ease.
How can I send van request form-1 for eSignature?
When you're ready to share your van request form-1, you can swiftly email it to others and receive the eSigned document back. You may send your PDF through email, fax, text message, or USPS mail, or you can notarize it online. All of this may be done without ever leaving your account.
Can I sign the van request form-1 electronically in Chrome?
As a PDF editor and form builder, pdfFiller has a lot of features. It also has a powerful e-signature tool that you can add to your Chrome browser. With our extension, you can type, draw, or take a picture of your signature with your webcam to make your legally-binding eSignature. Choose how you want to sign your van request form-1 and you'll be done in minutes.
What is van request form-1?
Van request form-1 is a document used to request the use of a van for transportation purposes.
Who is required to file van request form-1?
Any individual or organization that needs to use a van for transportation purposes is required to file van request form-1.
How to fill out van request form-1?
Van request form-1 can be filled out by providing information such as the date of request, purpose of use, destination, number of passengers, and driver details.
What is the purpose of van request form-1?
The purpose of van request form-1 is to ensure that vans are being used for authorized transportation purposes.
What information must be reported on van request form-1?
Information such as date of request, purpose of use, destination, number of passengers, and driver details must be reported on van request form-1.
Fill out your van request form-1 online with pdfFiller!
pdfFiller is an end-to-end solution for managing, creating, and editing documents and forms in the cloud. Save time and hassle by preparing your tax forms online.

Van Request Form-1 is not the form you're looking for?Search for another form here.
Relevant keywords
Related Forms
If you believe that this page should be taken down, please follow our DMCA take down process
here
.
This form may include fields for payment information. Data entered in these fields is not covered by PCI DSS compliance.