
Get the free SFLC Std Spec 0000 - Deputy Commandant for Mission Support
Show details
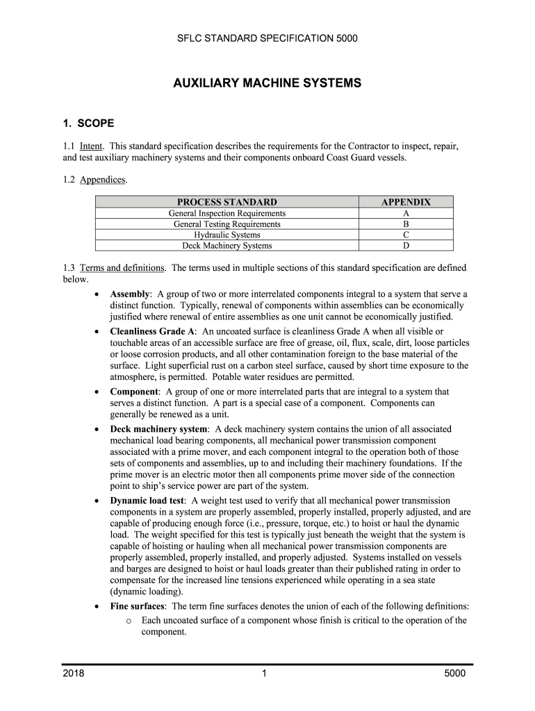
SLC STANDARD SPECIFICATION 5000AUXILIARY MACHINE SYSTEMS
1. SCOPE
1.1 Intent. This standard specification describes the requirements for the Contractor to inspect, repair,
and test auxiliary machinery
We are not affiliated with any brand or entity on this form
Get, Create, Make and Sign sflc std spec 0000

Edit your sflc std spec 0000 form online
Type text, complete fillable fields, insert images, highlight or blackout data for discretion, add comments, and more.

Add your legally-binding signature
Draw or type your signature, upload a signature image, or capture it with your digital camera.

Share your form instantly
Email, fax, or share your sflc std spec 0000 form via URL. You can also download, print, or export forms to your preferred cloud storage service.
How to edit sflc std spec 0000 online
Here are the steps you need to follow to get started with our professional PDF editor:
1
Register the account. Begin by clicking Start Free Trial and create a profile if you are a new user.
2
Upload a document. Select Add New on your Dashboard and transfer a file into the system in one of the following ways: by uploading it from your device or importing from the cloud, web, or internal mail. Then, click Start editing.
3
Edit sflc std spec 0000. Rearrange and rotate pages, add new and changed texts, add new objects, and use other useful tools. When you're done, click Done. You can use the Documents tab to merge, split, lock, or unlock your files.
4
Save your file. Select it from your records list. Then, click the right toolbar and select one of the various exporting options: save in numerous formats, download as PDF, email, or cloud.
Dealing with documents is always simple with pdfFiller.
Uncompromising security for your PDF editing and eSignature needs
Your private information is safe with pdfFiller. We employ end-to-end encryption, secure cloud storage, and advanced access control to protect your documents and maintain regulatory compliance.
How to fill out sflc std spec 0000

How to fill out sflc std spec 0000
01
Step 1: Start by obtaining a copy of the SFLC STD SPEC 0000 form.
02
Step 2: Read the instructions provided with the form carefully to understand the purpose and requirements of filling it out.
03
Step 3: Fill out the form using a pen or a computer, depending on the instructions provided.
04
Step 4: Provide accurate and complete information in each section of the form.
05
Step 5: Review the filled-out form for any errors or missing information.
06
Step 6: Sign and date the form as required.
07
Step 7: Make a copy of the filled-out form for your records, if necessary.
08
Step 8: Submit the form according to the instructions provided, such as mailing it to the specified address or submitting it online.
Who needs sflc std spec 0000?
01
SFLC STD SPEC 0000 is needed by individuals or organizations who are required to provide certain information in a standardized format. The specific requirements and reasons for needing this form may vary depending on the context and the purpose of the form.
Fill
form
: Try Risk Free
For pdfFiller’s FAQs
Below is a list of the most common customer questions. If you can’t find an answer to your question, please don’t hesitate to reach out to us.
Where do I find sflc std spec 0000?
The premium pdfFiller subscription gives you access to over 25M fillable templates that you can download, fill out, print, and sign. The library has state-specific sflc std spec 0000 and other forms. Find the template you need and change it using powerful tools.
Can I sign the sflc std spec 0000 electronically in Chrome?
You certainly can. You get not just a feature-rich PDF editor and fillable form builder with pdfFiller, but also a robust e-signature solution that you can add right to your Chrome browser. You may use our addon to produce a legally enforceable eSignature by typing, sketching, or photographing your signature with your webcam. Choose your preferred method and eSign your sflc std spec 0000 in minutes.
How do I fill out the sflc std spec 0000 form on my smartphone?
You can easily create and fill out legal forms with the help of the pdfFiller mobile app. Complete and sign sflc std spec 0000 and other documents on your mobile device using the application. Visit pdfFiller’s webpage to learn more about the functionalities of the PDF editor.
What is sflc std spec 0000?
SFLC Std Spec 0000 is a standard specification used for a specific purpose.
Who is required to file sflc std spec 0000?
Those individuals or entities who fall under the jurisdiction requiring the standard specification.
How to fill out sflc std spec 0000?
The standard specification must be filled out according to the guidelines provided by the governing body.
What is the purpose of sflc std spec 0000?
The purpose of SFLC Std Spec 0000 is to ensure compliance with a set standard in a particular field or industry.
What information must be reported on sflc std spec 0000?
The information required to be reported on SFLC Std Spec 0000 depends on the specific requirements of the standard.
Fill out your sflc std spec 0000 online with pdfFiller!
pdfFiller is an end-to-end solution for managing, creating, and editing documents and forms in the cloud. Save time and hassle by preparing your tax forms online.

Sflc Std Spec 0000 is not the form you're looking for?Search for another form here.
Relevant keywords
Related Forms
If you believe that this page should be taken down, please follow our DMCA take down process
here
.
This form may include fields for payment information. Data entered in these fields is not covered by PCI DSS compliance.