Get the free Student Host Declaration Form - LSU Compliance
Show details
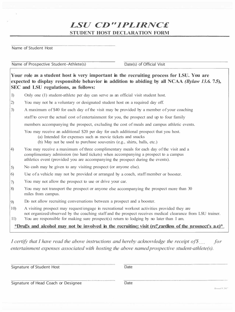
LSU CD “1PLIRNCSTUDENT HOST DECLARATION FORM Name of Student Host Name of Prospective StudentAthlete(s)Date(s) of Official Visitor role as a student host is very important in the recruiting process
We are not affiliated with any brand or entity on this form
Get, Create, Make and Sign student host declaration form
Edit your student host declaration form form online
Type text, complete fillable fields, insert images, highlight or blackout data for discretion, add comments, and more.
Add your legally-binding signature
Draw or type your signature, upload a signature image, or capture it with your digital camera.
Share your form instantly
Email, fax, or share your student host declaration form form via URL. You can also download, print, or export forms to your preferred cloud storage service.
Editing student host declaration form online
Follow the steps down below to take advantage of the professional PDF editor:
1
Register the account. Begin by clicking Start Free Trial and create a profile if you are a new user.
2
Prepare a file. Use the Add New button. Then upload your file to the system from your device, importing it from internal mail, the cloud, or by adding its URL.
3
Edit student host declaration form. Rearrange and rotate pages, add new and changed texts, add new objects, and use other useful tools. When you're done, click Done. You can use the Documents tab to merge, split, lock, or unlock your files.
4
Get your file. Select your file from the documents list and pick your export method. You may save it as a PDF, email it, or upload it to the cloud.
pdfFiller makes dealing with documents a breeze. Create an account to find out!
Uncompromising security for your PDF editing and eSignature needs
Your private information is safe with pdfFiller. We employ end-to-end encryption, secure cloud storage, and advanced access control to protect your documents and maintain regulatory compliance.
How to fill out student host declaration form
How to fill out student host declaration form
01
Start by downloading the student host declaration form from the official website.
02
Read the form carefully and make sure you understand all the instructions.
03
Fill in your personal details such as your name, address, and contact information.
04
Provide information about the student you will be hosting, including their name, age, and duration of stay.
05
Fill in any additional information required, such as emergency contact details or allergies of the student.
06
Review the form to ensure all the required fields are filled correctly.
07
Sign and date the form.
08
Submit the completed form to the relevant authority or organization as instructed.
Who needs student host declaration form?
01
Anyone who will be hosting a student needs to fill out the student host declaration form. This includes parents who will be hosting exchange students, families who will be hosting international students for a short period, or individuals who will be providing accommodation for visiting students.
Fill
form
: Try Risk Free
For pdfFiller’s FAQs
Below is a list of the most common customer questions. If you can’t find an answer to your question, please don’t hesitate to reach out to us.
How can I send student host declaration form for eSignature?
Once your student host declaration form is ready, you can securely share it with recipients and collect eSignatures in a few clicks with pdfFiller. You can send a PDF by email, text message, fax, USPS mail, or notarize it online - right from your account. Create an account now and try it yourself.
Where do I find student host declaration form?
It’s easy with pdfFiller, a comprehensive online solution for professional document management. Access our extensive library of online forms (over 25M fillable forms are available) and locate the student host declaration form in a matter of seconds. Open it right away and start customizing it using advanced editing features.
How can I fill out student host declaration form on an iOS device?
Install the pdfFiller app on your iOS device to fill out papers. Create an account or log in if you already have one. After registering, upload your student host declaration form. You may now use pdfFiller's advanced features like adding fillable fields and eSigning documents from any device, anywhere.
What is student host declaration form?
Student host declaration form is a document that needs to be filled out by individuals who are hosting international students in their home.
Who is required to file student host declaration form?
Individuals who are hosting international students in their home are required to file the student host declaration form.
How to fill out student host declaration form?
To fill out the student host declaration form, individuals need to provide information about themselves, the international student they are hosting, and details about the accommodation.
What is the purpose of student host declaration form?
The purpose of the student host declaration form is to ensure that international students have a safe and suitable living environment while studying abroad.
What information must be reported on student host declaration form?
Information such as the host's contact details, accommodation details, duration of stay, and emergency contact information must be reported on the student host declaration form.
Fill out your student host declaration form online with pdfFiller!
pdfFiller is an end-to-end solution for managing, creating, and editing documents and forms in the cloud. Save time and hassle by preparing your tax forms online.
Student Host Declaration Form is not the form you're looking for?Search for another form here.
Relevant keywords
Related Forms
If you believe that this page should be taken down, please follow our DMCA take down process
here
.
This form may include fields for payment information. Data entered in these fields is not covered by PCI DSS compliance.