Get the free Reset Your DMACC PIN - Des Moines Area Community College
Show details
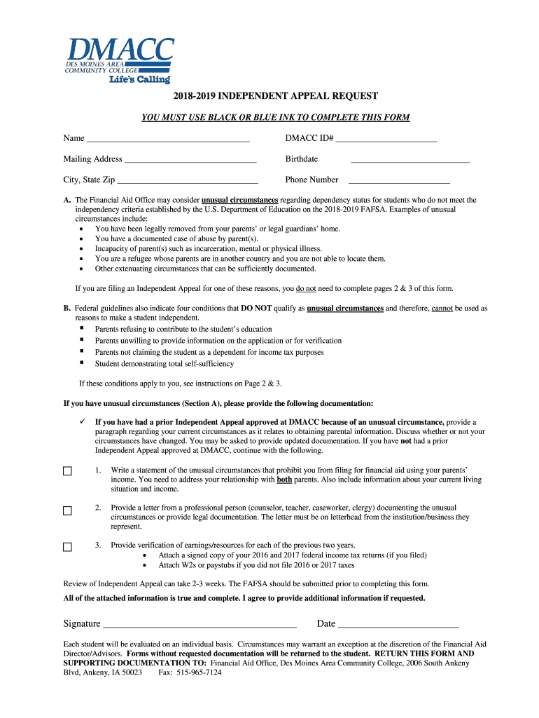
20182019 INDEPENDENT APPEAL REQUEST YOU MUST USE BLACK OR BLUE INK TO COMPLETE THIS FORM Name DMAIC ID# Mailing Address Birthdate City, State Zip Phone Number A. The Financial Aid Office may consider
We are not affiliated with any brand or entity on this form
Get, Create, Make and Sign reset your dmacc pin
Edit your reset your dmacc pin form online
Type text, complete fillable fields, insert images, highlight or blackout data for discretion, add comments, and more.
Add your legally-binding signature
Draw or type your signature, upload a signature image, or capture it with your digital camera.
Share your form instantly
Email, fax, or share your reset your dmacc pin form via URL. You can also download, print, or export forms to your preferred cloud storage service.
How to edit reset your dmacc pin online
Use the instructions below to start using our professional PDF editor:
1
Log in to your account. Start Free Trial and sign up a profile if you don't have one yet.
2
Upload a file. Select Add New on your Dashboard and upload a file from your device or import it from the cloud, online, or internal mail. Then click Edit.
3
Edit reset your dmacc pin. Rearrange and rotate pages, add and edit text, and use additional tools. To save changes and return to your Dashboard, click Done. The Documents tab allows you to merge, divide, lock, or unlock files.
4
Get your file. Select your file from the documents list and pick your export method. You may save it as a PDF, email it, or upload it to the cloud.
pdfFiller makes dealing with documents a breeze. Create an account to find out!
Uncompromising security for your PDF editing and eSignature needs
Your private information is safe with pdfFiller. We employ end-to-end encryption, secure cloud storage, and advanced access control to protect your documents and maintain regulatory compliance.
How to fill out reset your dmacc pin
How to fill out reset your dmacc pin
01
To reset your DMACC PIN, follow these steps:
02
Go to the DMACC website.
03
Click on the 'MyDMACC' link.
04
On the MyDMACC login page, click on 'Forgot PIN?'
05
Enter your DMACC ID and date of birth.
06
Click 'Continue' to proceed.
07
Answer the security questions associated with your account.
08
Create a new PIN following the provided guidelines.
09
Confirm the new PIN.
10
Click 'Submit' to save the changes.
11
Your DMACC PIN has been successfully reset.
Who needs reset your dmacc pin?
01
Anyone who has forgotten their current DMACC PIN or suspects that their PIN has been compromised needs to reset their DMACC PIN.
Fill
form
: Try Risk Free
For pdfFiller’s FAQs
Below is a list of the most common customer questions. If you can’t find an answer to your question, please don’t hesitate to reach out to us.
How can I get reset your dmacc pin?
It's simple with pdfFiller, a full online document management tool. Access our huge online form collection (over 25M fillable forms are accessible) and find the reset your dmacc pin in seconds. Open it immediately and begin modifying it with powerful editing options.
How do I edit reset your dmacc pin online?
With pdfFiller, the editing process is straightforward. Open your reset your dmacc pin in the editor, which is highly intuitive and easy to use. There, you’ll be able to blackout, redact, type, and erase text, add images, draw arrows and lines, place sticky notes and text boxes, and much more.
How do I edit reset your dmacc pin straight from my smartphone?
Using pdfFiller's mobile-native applications for iOS and Android is the simplest method to edit documents on a mobile device. You may get them from the Apple App Store and Google Play, respectively. More information on the apps may be found here. Install the program and log in to begin editing reset your dmacc pin.
What is reset your dmacc pin?
Reset your dmacc pin is the process of changing or updating your personal identification number (PIN) for accessing your DMACC account.
Who is required to file reset your dmacc pin?
Any DMACC student or staff member who needs to update or change their PIN is required to file a reset request.
How to fill out reset your dmacc pin?
To fill out a reset request for your DMACC PIN, you can visit the DMACC website or contact the IT helpdesk for assistance.
What is the purpose of reset your dmacc pin?
The purpose of resetting your DMACC PIN is to ensure the security of your account and personal information.
What information must be reported on reset your dmacc pin?
When filing a reset request for your DMACC PIN, you must provide your full name, student or staff ID number, and a valid email address.
Fill out your reset your dmacc pin online with pdfFiller!
pdfFiller is an end-to-end solution for managing, creating, and editing documents and forms in the cloud. Save time and hassle by preparing your tax forms online.
Reset Your Dmacc Pin is not the form you're looking for?Search for another form here.
Relevant keywords
Related Forms
If you believe that this page should be taken down, please follow our DMCA take down process
here
.
This form may include fields for payment information. Data entered in these fields is not covered by PCI DSS compliance.