
Get the free Laredo College ENGL 2327 - American Literature I General ...
Show details
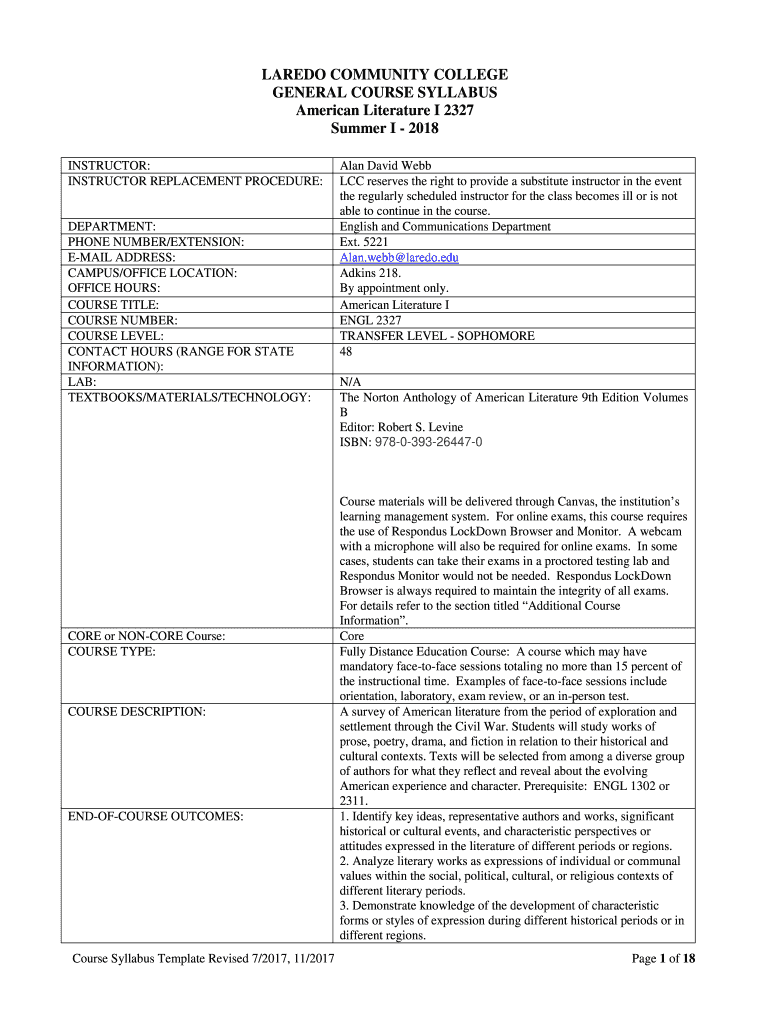
LAREDO COMMUNITY COLLEGE GENERAL COURSE SYLLABUS American Literature I 2327 Summer I 2018 INSTRUCTOR: INSTRUCTOR REPLACEMENT PROCEDURE:DEPARTMENT: PHONE NUMBER/EXTENSION: EMAIL ADDRESS: CAMPUS/OFFICE
We are not affiliated with any brand or entity on this form
Get, Create, Make and Sign laredo college engl 2327

Edit your laredo college engl 2327 form online
Type text, complete fillable fields, insert images, highlight or blackout data for discretion, add comments, and more.

Add your legally-binding signature
Draw or type your signature, upload a signature image, or capture it with your digital camera.

Share your form instantly
Email, fax, or share your laredo college engl 2327 form via URL. You can also download, print, or export forms to your preferred cloud storage service.
Editing laredo college engl 2327 online
Use the instructions below to start using our professional PDF editor:
1
Log in to account. Click Start Free Trial and sign up a profile if you don't have one yet.
2
Prepare a file. Use the Add New button. Then upload your file to the system from your device, importing it from internal mail, the cloud, or by adding its URL.
3
Edit laredo college engl 2327. Rearrange and rotate pages, add new and changed texts, add new objects, and use other useful tools. When you're done, click Done. You can use the Documents tab to merge, split, lock, or unlock your files.
4
Save your file. Choose it from the list of records. Then, shift the pointer to the right toolbar and select one of the several exporting methods: save it in multiple formats, download it as a PDF, email it, or save it to the cloud.
pdfFiller makes dealing with documents a breeze. Create an account to find out!
Uncompromising security for your PDF editing and eSignature needs
Your private information is safe with pdfFiller. We employ end-to-end encryption, secure cloud storage, and advanced access control to protect your documents and maintain regulatory compliance.
How to fill out laredo college engl 2327

How to fill out laredo college engl 2327
01
Obtain the necessary paperwork for registration, including the course schedule and registration forms.
02
Review the course schedule to find the specific section of Engl 2327 that you want to enroll in. Pay attention to the days, times, and location of the class.
03
Fill out the registration form with your personal information, including your name, address, phone number, and student ID number.
04
Indicate on the registration form that you want to enroll in Engl 2327 and specify the section number.
05
Submit the completed registration form along with any required documents, such as proof of residency or transcripts, to the registration office.
06
Pay the required tuition fees for the course. Payment options may include online payment, check, or credit card.
07
Attend the first class session of Engl 2327 according to the schedule provided. Bring any necessary textbooks or materials.
08
Participate actively in the course, complete assigned readings and assignments, and meet all deadlines.
09
Attend all subsequent class sessions and actively engage in discussions and assignments.
10
Take the required exams or submit any necessary projects or papers to demonstrate your understanding of the course material.
11
Regularly check your grades and progress in the course through the college's student portal.
12
Complete all course requirements and attend any final exams or presentations as scheduled.
13
At the end of the semester, check your final grade for Engl 2327 and make sure it has been recorded correctly.
14
If you have any questions or issues related to the course or your enrollment, contact the professor or the college's administrative office for assistance.
Who needs laredo college engl 2327?
01
Laredo College Engl 2327 is typically needed by students who are majoring in English, literature, or a related field.
02
It may also be required for students who are pursuing a general education degree or certificate that includes English literature or composition courses.
03
Additionally, students who are interested in improving their writing, critical thinking, and analytical skills may choose to take Engl 2327.
04
This course can benefit individuals who plan to pursue careers in writing, journalism, teaching, or any field that requires strong communication skills.
05
Overall, anyone who wants to enhance their understanding and appreciation of literature and develop advanced reading and writing abilities can benefit from taking Engl 2327 at Laredo College.
Fill
form
: Try Risk Free
For pdfFiller’s FAQs
Below is a list of the most common customer questions. If you can’t find an answer to your question, please don’t hesitate to reach out to us.
How do I modify my laredo college engl 2327 in Gmail?
You can use pdfFiller’s add-on for Gmail in order to modify, fill out, and eSign your laredo college engl 2327 along with other documents right in your inbox. Find pdfFiller for Gmail in Google Workspace Marketplace. Use time you spend on handling your documents and eSignatures for more important things.
How do I make changes in laredo college engl 2327?
The editing procedure is simple with pdfFiller. Open your laredo college engl 2327 in the editor. You may also add photos, draw arrows and lines, insert sticky notes and text boxes, and more.
How can I fill out laredo college engl 2327 on an iOS device?
Install the pdfFiller app on your iOS device to fill out papers. If you have a subscription to the service, create an account or log in to an existing one. After completing the registration process, upload your laredo college engl 2327. You may now use pdfFiller's advanced features, such as adding fillable fields and eSigning documents, and accessing them from any device, wherever you are.
What is laredo college engl 2327?
Laredo College ENGL 2327 is a course on American Literature.
Who is required to file laredo college engl 2327?
Students who want to fulfill their English literature requirement at Laredo College.
How to fill out laredo college engl 2327?
You need to attend classes, complete assignments, and take exams as per the syllabus of the course.
What is the purpose of laredo college engl 2327?
The purpose of Laredo College ENGL 2327 is to study and analyze American literature from various periods.
What information must be reported on laredo college engl 2327?
You must report your understanding and analysis of the assigned literary works in the course.
Fill out your laredo college engl 2327 online with pdfFiller!
pdfFiller is an end-to-end solution for managing, creating, and editing documents and forms in the cloud. Save time and hassle by preparing your tax forms online.

Laredo College Engl 2327 is not the form you're looking for?Search for another form here.
Relevant keywords
Related Forms
If you believe that this page should be taken down, please follow our DMCA take down process
here
.
This form may include fields for payment information. Data entered in these fields is not covered by PCI DSS compliance.