
Get the free Avenue N, San Angelo, TX 76909
Show details
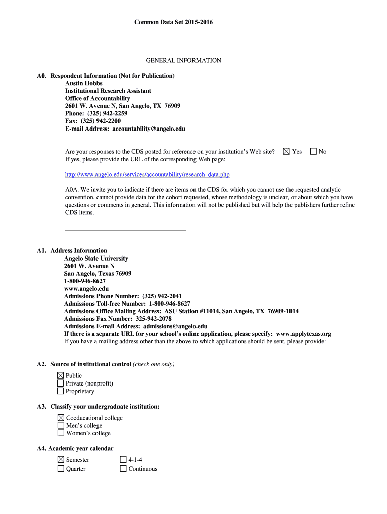
Common Data Set 20152016GENERAL INFORMATION
A0. Respondent Information (Not for Publication)
Austin Hobbs
Institutional Research Assistant
Office of Accountability
2601 W. Avenue N, San Angelo, TX
We are not affiliated with any brand or entity on this form
Get, Create, Make and Sign avenue n san angelo

Edit your avenue n san angelo form online
Type text, complete fillable fields, insert images, highlight or blackout data for discretion, add comments, and more.

Add your legally-binding signature
Draw or type your signature, upload a signature image, or capture it with your digital camera.

Share your form instantly
Email, fax, or share your avenue n san angelo form via URL. You can also download, print, or export forms to your preferred cloud storage service.
Editing avenue n san angelo online
Here are the steps you need to follow to get started with our professional PDF editor:
1
Set up an account. If you are a new user, click Start Free Trial and establish a profile.
2
Prepare a file. Use the Add New button to start a new project. Then, using your device, upload your file to the system by importing it from internal mail, the cloud, or adding its URL.
3
Edit avenue n san angelo. Add and replace text, insert new objects, rearrange pages, add watermarks and page numbers, and more. Click Done when you are finished editing and go to the Documents tab to merge, split, lock or unlock the file.
4
Get your file. Select the name of your file in the docs list and choose your preferred exporting method. You can download it as a PDF, save it in another format, send it by email, or transfer it to the cloud.
It's easier to work with documents with pdfFiller than you can have believed. Sign up for a free account to view.
Uncompromising security for your PDF editing and eSignature needs
Your private information is safe with pdfFiller. We employ end-to-end encryption, secure cloud storage, and advanced access control to protect your documents and maintain regulatory compliance.
How to fill out avenue n san angelo

How to fill out avenue n san angelo
01
To fill out Avenue N San Angelo, follow these steps:
02
Start at the beginning of Avenue N
03
Fill out the street name, 'Avenue N', in the appropriate field
04
Continue filling out any additional fields required for the address, such as the building number or apartment number
05
Once all the required fields are complete, double-check for accuracy
06
Submit the completed form
Who needs avenue n san angelo?
01
Anyone who wants to provide their address or locate a place on Avenue N San Angelo may need this information.
02
Residents, businesses, and visitors in the area may require Avenue N San Angelo for various purposes, including postal services, navigation, or identification.
Fill
form
: Try Risk Free
For pdfFiller’s FAQs
Below is a list of the most common customer questions. If you can’t find an answer to your question, please don’t hesitate to reach out to us.
How do I fill out avenue n san angelo using my mobile device?
Use the pdfFiller mobile app to complete and sign avenue n san angelo on your mobile device. Visit our web page (https://edit-pdf-ios-android.pdffiller.com/) to learn more about our mobile applications, the capabilities you’ll have access to, and the steps to take to get up and running.
Can I edit avenue n san angelo on an iOS device?
No, you can't. With the pdfFiller app for iOS, you can edit, share, and sign avenue n san angelo right away. At the Apple Store, you can buy and install it in a matter of seconds. The app is free, but you will need to set up an account if you want to buy a subscription or start a free trial.
How do I edit avenue n san angelo on an Android device?
With the pdfFiller Android app, you can edit, sign, and share avenue n san angelo on your mobile device from any place. All you need is an internet connection to do this. Keep your documents in order from anywhere with the help of the app!
What is avenue n san angelo?
Avenue N San Angelo is a specific form or document that must be filed with the appropriate authority.
Who is required to file avenue n san angelo?
Individuals or entities who meet certain criteria or have specific obligations are required to file Avenue N San Angelo.
How to fill out avenue n san angelo?
To fill out Avenue N San Angelo, one must provide accurate and complete information as required by the form.
What is the purpose of avenue n san angelo?
The purpose of Avenue N San Angelo is to collect specific information for regulatory or compliance purposes.
What information must be reported on avenue n san angelo?
On Avenue N San Angelo, one must report details such as income, expenses, and other relevant financial information.
Fill out your avenue n san angelo online with pdfFiller!
pdfFiller is an end-to-end solution for managing, creating, and editing documents and forms in the cloud. Save time and hassle by preparing your tax forms online.

Avenue N San Angelo is not the form you're looking for?Search for another form here.
Relevant keywords
Related Forms
If you believe that this page should be taken down, please follow our DMCA take down process
here
.
This form may include fields for payment information. Data entered in these fields is not covered by PCI DSS compliance.