
Get the free Arbitration Agreement and Waiver of Jury Trial - Peloton College
Show details
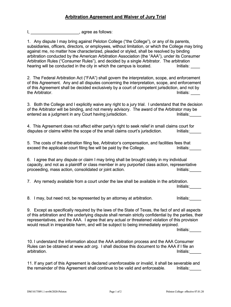
Arbitration Agreement and Waiver of Jury Trials I, agree as follows: 1. Any dispute I may bring against Peloton College (the College), or any of its parents, subsidiaries, officers, directors, or
We are not affiliated with any brand or entity on this form
Get, Create, Make and Sign arbitration agreement and waiver

Edit your arbitration agreement and waiver form online
Type text, complete fillable fields, insert images, highlight or blackout data for discretion, add comments, and more.

Add your legally-binding signature
Draw or type your signature, upload a signature image, or capture it with your digital camera.

Share your form instantly
Email, fax, or share your arbitration agreement and waiver form via URL. You can also download, print, or export forms to your preferred cloud storage service.
How to edit arbitration agreement and waiver online
To use the services of a skilled PDF editor, follow these steps:
1
Log in. Click Start Free Trial and create a profile if necessary.
2
Prepare a file. Use the Add New button. Then upload your file to the system from your device, importing it from internal mail, the cloud, or by adding its URL.
3
Edit arbitration agreement and waiver. Replace text, adding objects, rearranging pages, and more. Then select the Documents tab to combine, divide, lock or unlock the file.
4
Get your file. When you find your file in the docs list, click on its name and choose how you want to save it. To get the PDF, you can save it, send an email with it, or move it to the cloud.
Dealing with documents is always simple with pdfFiller.
Uncompromising security for your PDF editing and eSignature needs
Your private information is safe with pdfFiller. We employ end-to-end encryption, secure cloud storage, and advanced access control to protect your documents and maintain regulatory compliance.
How to fill out arbitration agreement and waiver

How to fill out arbitration agreement and waiver
01
To fill out an arbitration agreement and waiver, follow these steps:
02
Begin by identifying the parties involved in the agreement. This may include the company or organization requiring the agreement and the individual or individuals signing it.
03
Clearly state the purpose of the agreement, which is to establish a binding arbitration process for resolving any disputes that may arise between the parties.
04
Specify the governing rules and procedures for arbitration that will be followed. This could include referencing a specific set of rules or guidelines, or outlining the process to be followed.
05
Clearly state that by signing the agreement, the parties are waiving their right to pursue a lawsuit in court and are instead opting for arbitration as the sole method of resolving disputes.
06
Include any additional clauses or provisions that may be necessary or relevant to the specific agreement and the parties involved.
07
Ensure that the agreement is written in clear and understandable language, avoiding confusing or ambiguous terms.
08
Have all parties review the agreement thoroughly before signing. If necessary, consult with legal counsel to ensure the agreement is legally enforceable and meets all necessary requirements.
09
Once all parties are satisfied with the agreement, have each party sign and date the document.
10
Retain a copy of the signed agreement for each party's records.
11
Periodically review and update the agreement as necessary to ensure it remains current and applicable to any changes in laws or regulations.
12
Remember, it is important to seek legal advice before drafting or signing any legal agreements.
Who needs arbitration agreement and waiver?
01
Arbitration agreements and waivers may be required by various entities, including:
02
- Companies or organizations seeking to avoid traditional litigation and resolve disputes through a private and more cost-effective process.
03
- Employers who want to establish a dispute resolution process for employee-related matters, such as grievances or employment disputes.
04
- Service providers or professionals who wish to protect themselves from potential legal actions by clients or customers.
05
- Businesses entering into contracts with other parties, aiming to establish a clear process for dispute resolution if conflicts arise.
06
- Anyone seeking a contractual arrangement that includes an alternative method of resolving disputes outside of the court system.
07
It is important to note that the need for an arbitration agreement and waiver may vary depending on jurisdiction and the specific circumstances of each situation. Consulting with legal counsel is advised to determine if such an agreement is necessary and appropriate.
Fill
form
: Try Risk Free
For pdfFiller’s FAQs
Below is a list of the most common customer questions. If you can’t find an answer to your question, please don’t hesitate to reach out to us.
How can I edit arbitration agreement and waiver from Google Drive?
Using pdfFiller with Google Docs allows you to create, amend, and sign documents straight from your Google Drive. The add-on turns your arbitration agreement and waiver into a dynamic fillable form that you can manage and eSign from anywhere.
How do I edit arbitration agreement and waiver in Chrome?
Install the pdfFiller Google Chrome Extension in your web browser to begin editing arbitration agreement and waiver and other documents right from a Google search page. When you examine your documents in Chrome, you may make changes to them. With pdfFiller, you can create fillable documents and update existing PDFs from any internet-connected device.
How do I fill out arbitration agreement and waiver on an Android device?
Use the pdfFiller mobile app to complete your arbitration agreement and waiver on an Android device. The application makes it possible to perform all needed document management manipulations, like adding, editing, and removing text, signing, annotating, and more. All you need is your smartphone and an internet connection.
What is arbitration agreement and waiver?
Arbitration agreement and waiver is a legal contract between parties to resolve disputes outside of court through arbitration.
Who is required to file arbitration agreement and waiver?
The parties involved in a contract or agreement are required to file arbitration agreement and waiver.
How to fill out arbitration agreement and waiver?
Arbitration agreement and waiver can be filled out by including the names of the parties, the agreement to resolve disputes through arbitration, and any specific terms and conditions.
What is the purpose of arbitration agreement and waiver?
The purpose of arbitration agreement and waiver is to provide an alternative method for resolving disputes, avoiding lengthy court proceedings.
What information must be reported on arbitration agreement and waiver?
Arbitration agreement and waiver must include the names of the parties, the agreement to resolve disputes through arbitration, and any specific terms and conditions.
Fill out your arbitration agreement and waiver online with pdfFiller!
pdfFiller is an end-to-end solution for managing, creating, and editing documents and forms in the cloud. Save time and hassle by preparing your tax forms online.

Arbitration Agreement And Waiver is not the form you're looking for?Search for another form here.
Relevant keywords
Related Forms
If you believe that this page should be taken down, please follow our DMCA take down process
here
.
This form may include fields for payment information. Data entered in these fields is not covered by PCI DSS compliance.