Get the free Paycor Participant Instructions and Forms.Fall 2008.doc - teamintraining
Show details
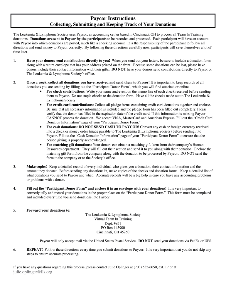
Paycor Instructions Collecting, Submitting and Keeping Track of Your Donations The Leukemia & Lymphoma Society uses Paycor, an accounting center based in Cincinnati, OH to process all Team In Training
We are not affiliated with any brand or entity on this form
Get, Create, Make and Sign paycor participant instructions and
Edit your paycor participant instructions and form online
Type text, complete fillable fields, insert images, highlight or blackout data for discretion, add comments, and more.
Add your legally-binding signature
Draw or type your signature, upload a signature image, or capture it with your digital camera.
Share your form instantly
Email, fax, or share your paycor participant instructions and form via URL. You can also download, print, or export forms to your preferred cloud storage service.
Editing paycor participant instructions and online
Follow the steps below to use a professional PDF editor:
1
Create an account. Begin by choosing Start Free Trial and, if you are a new user, establish a profile.
2
Prepare a file. Use the Add New button. Then upload your file to the system from your device, importing it from internal mail, the cloud, or by adding its URL.
3
Edit paycor participant instructions and. Add and change text, add new objects, move pages, add watermarks and page numbers, and more. Then click Done when you're done editing and go to the Documents tab to merge or split the file. If you want to lock or unlock the file, click the lock or unlock button.
4
Save your file. Select it from your records list. Then, click the right toolbar and select one of the various exporting options: save in numerous formats, download as PDF, email, or cloud.
It's easier to work with documents with pdfFiller than you could have ever thought. Sign up for a free account to view.
Uncompromising security for your PDF editing and eSignature needs
Your private information is safe with pdfFiller. We employ end-to-end encryption, secure cloud storage, and advanced access control to protect your documents and maintain regulatory compliance.
How to fill out paycor participant instructions and
To fill out paycor participant instructions, follow these steps:
01
Start by reviewing the instructions carefully, making sure you understand all the requirements and guidelines.
02
Gather all the necessary information and documents needed to complete the form, such as your personal information, employment details, and any relevant financial information.
03
Begin filling out the form by entering your personal information accurately, including your full name, address, contact information, and social security number.
04
Provide your employment details, such as your job position, department, and any other relevant work information. This may include your start date, hours worked, and pay rate.
05
If required, indicate your employment benefits preferences, such as retirement plans, health insurance options, and any other applicable choices.
06
Verify all the information you have entered to ensure its accuracy and completeness. It is essential to double-check your entries to avoid any errors or mistakes.
07
Once you are confident that all the information is accurate, sign and date the form as required.
08
Submit the completed paycor participant instructions form as instructed, either online or by printing and mailing it to the designated recipient.
8.1
Paycor participant instructions may be needed by individuals who are joining or already participating in a program or system administered by Paycor. These instructions are relevant for employees, new hires, or individuals who have specific benefit plans or retirement accounts managed by Paycor. By following the paycor participant instructions, individuals can ensure their accurate enrollment in benefits, proper allocation of funds, and overall participation in Paycor-administered programs. These instructions play a crucial role in ensuring that individuals receive the benefits and services they are entitled to and that their personal and financial information is handled correctly and securely.
Fill
form
: Try Risk Free
For pdfFiller’s FAQs
Below is a list of the most common customer questions. If you can’t find an answer to your question, please don’t hesitate to reach out to us.
How can I get paycor participant instructions and?
It's simple using pdfFiller, an online document management tool. Use our huge online form collection (over 25M fillable forms) to quickly discover the paycor participant instructions and. Open it immediately and start altering it with sophisticated capabilities.
How can I fill out paycor participant instructions and on an iOS device?
Download and install the pdfFiller iOS app. Then, launch the app and log in or create an account to have access to all of the editing tools of the solution. Upload your paycor participant instructions and from your device or cloud storage to open it, or input the document URL. After filling out all of the essential areas in the document and eSigning it (if necessary), you may save it or share it with others.
How do I complete paycor participant instructions and on an Android device?
Complete paycor participant instructions and and other documents on your Android device with the pdfFiller app. The software allows you to modify information, eSign, annotate, and share files. You may view your papers from anywhere with an internet connection.
What is paycor participant instructions and?
Paycor participant instructions provide guidelines on how participants can effectively use the Paycor platform.
Who is required to file paycor participant instructions and?
Employers who use Paycor for managing their employees' payroll and HR information are required to file participant instructions.
How to fill out paycor participant instructions and?
Paycor participant instructions can be filled out online through the Paycor platform. Employers can provide step-by-step guidance to their employees on how to utilize the platform.
What is the purpose of paycor participant instructions and?
The purpose of paycor participant instructions is to educate employees on how to use the Paycor platform for accessing their payroll information, updating personal details, and requesting time off.
What information must be reported on paycor participant instructions and?
Paycor participant instructions should include information on how to log in to the platform, view pay stubs, submit time off requests, update personal information, and access training materials.
Fill out your paycor participant instructions and online with pdfFiller!
pdfFiller is an end-to-end solution for managing, creating, and editing documents and forms in the cloud. Save time and hassle by preparing your tax forms online.
Paycor Participant Instructions And is not the form you're looking for?Search for another form here.
Relevant keywords
Related Forms
If you believe that this page should be taken down, please follow our DMCA take down process
here
.
This form may include fields for payment information. Data entered in these fields is not covered by PCI DSS compliance.