Form preview

Get the free WITH CARES ACT

Get Form
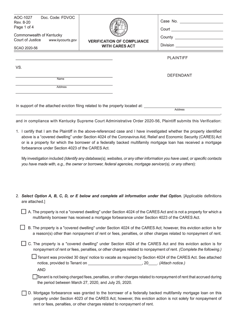
NWEA L TH OF MESCAL 202056URTOF Court VERIFICATION OF COMPLIANCE WITH CARES ACT Case No. CCO Commonwealth of Kentucky www.kycourts.gov Court of JusticeElex et justitiaUCKYCOMMODoc. Code: FDVOCNTAOC1027
We are not affiliated with any brand or entity on this form

Get, Create, Make and Sign with cares act

Edit
Edit your with cares act form online
Type text, complete fillable fields, insert images, highlight or blackout data for discretion, add comments, and more.
Add
Add your legally-binding signature
Draw or type your signature, upload a signature image, or capture it with your digital camera.
Share
Share your form instantly
Email, fax, or share your with cares act form via URL. You can also download, print, or export forms to your preferred cloud storage service.

How to edit with cares act online

9.5
Ease of Setup
pdfFiller User Ratings on G2
9.0
Ease of Use
pdfFiller User Ratings on G2
To use our professional PDF editor, follow these steps:
1
Set up an account. If you are a new user, click Start Free Trial and establish a profile.
2
Prepare a file. Use the Add New button to start a new project. Then, using your device, upload your file to the system by importing it from internal mail, the cloud, or adding its URL.
3
Edit with cares act. Rearrange and rotate pages, add and edit text, and use additional tools. To save changes and return to your Dashboard, click Done. The Documents tab allows you to merge, divide, lock, or unlock files.
4
Get your file. Select the name of your file in the docs list and choose your preferred exporting method. You can download it as a PDF, save it in another format, send it by email, or transfer it to the cloud.

Uncompromising security for your PDF editing and eSignature needs

Your private information is safe with pdfFiller. We employ end-to-end encryption, secure cloud storage, and advanced access control to protect your documents and maintain regulatory compliance.
GDPR
AICPA SOC 2
PCI
HIPAA
CCPA
FDA

How to fill out with cares act

Illustration

How to fill out with cares act

01
To fill out the CARES Act, follow these steps:
02
- Gather all necessary information and documentation such as your Social Security Number, tax-related documents, and income details.
03
- Determine your eligibility for the CARES Act by checking the specific requirements outlined in the legislation.
04
- Visit the official website or authorized platforms where you can access the CARES Act application form.
05
- Provide accurate and truthful responses to all the questions asked in the application form.
06
- Double-check all the information filled out to ensure its accuracy and completeness.
07
- Submit the filled-out CARES Act application form online or through the designated submission method mentioned on the platform.
08
- Wait for a response or confirmation regarding your application status.
09
- If approved, follow the further instructions provided to receive the benefits or financial assistance outlined in the CARES Act.
10
- If your application is rejected or requires additional information, follow the given instructions to resolve the issue and reapply if necessary.
11
- Stay updated with any changes or updates related to the CARES Act and comply with any additional requirements or procedures as notified by the relevant authorities.

Who needs with cares act?

01
Various individuals and entities may need to utilize the CARES Act, including:
02
- Individuals who have faced financial hardships or job losses due to the COVID-19 pandemic.
03
- Small business owners and entrepreneurs who need financial assistance to sustain their businesses during challenging times.
04
- Self-employed individuals and gig economy workers who have lost income or employment opportunities.
05
- Employees who have been furloughed or experienced reduced working hours and wages.
06
- Students and parents who require financial aid or support for education-related expenses.
07
- Non-profit organizations that have been adversely affected by the pandemic and need financial relief.
08
- State and local governments seeking funding for essential services and public welfare programs.
09
- Healthcare facilities and providers requiring additional resources to combat the virus and ensure patient care.
10
- Industries and sectors severely impacted by travel restrictions, social distancing measures, and other COVID-19 regulations.
11
- Any individuals or groups who meet the specific eligibility criteria mentioned in the CARES Act and require financial assistance or benefits.
Fill form : Try Risk Free
Users Most Likely To Recommend - Summer 2025
Grid Leader in Small-Business - Summer 2025
High Performer - Summer 2025
Regional Leader - Summer 2025
Easiest To Do Business With - Summer 2025
Best Meets Requirements- Summer 2025
Rate the form
4.3
Satisfied
34 Votes

For pdfFiller’s FAQs

Below is a list of the most common customer questions. If you can’t find an answer to your question, please don’t hesitate to reach out to us.

When your with cares act is finished, send it to recipients securely and gather eSignatures with pdfFiller. You may email, text, fax, mail, or notarize a PDF straight from your account. Create an account today to test it.
Get and add pdfFiller Google Chrome Extension to your browser to edit, fill out and eSign your with cares act, which you can open in the editor directly from a Google search page in just one click. Execute your fillable documents from any internet-connected device without leaving Chrome.
You can quickly make and fill out legal forms with the help of the pdfFiller app on your phone. Complete and sign with cares act and other documents on your mobile device using the application. If you want to learn more about how the PDF editor works, go to pdfFiller.com.
The CARES Act, or the Coronavirus Aid, Relief, and Economic Security Act, is a U.S. federal law enacted in March 2020 to provide economic relief to individuals and businesses affected by the COVID-19 pandemic.
Taxpayers who received certain benefits or financial assistance under the CARES Act may be required to report this information when filing their taxes, including individuals and businesses that received economic relief.
To fill out the relevant forms and schedule under the CARES Act, individuals and businesses need to follow the IRS instructions for the specific tax forms that apply, including reporting any assistance received.
The purpose of the CARES Act is to provide economic support to Americans during the pandemic, including direct payments to individuals, loans for small businesses, and enhanced unemployment benefits.
Individuals must report any stimulus payments, unemployment benefits received, or PPP loans received, as applicable, along with other income and deductions as instructed by the IRS.
Fill out your with cares act online with pdfFiller!

pdfFiller is an end-to-end solution for managing, creating, and editing documents and forms in the cloud. Save time and hassle by preparing your tax forms online.

Get started now
Form preview
If you believe that this page should be taken down, please follow our DMCA take down process here .
This form may include fields for payment information. Data entered in these fields is not covered by PCI DSS compliance.