
Get the free Wire, Pipeline, and Fiber Optics ProjectsNS ServicesReal ...
Show details
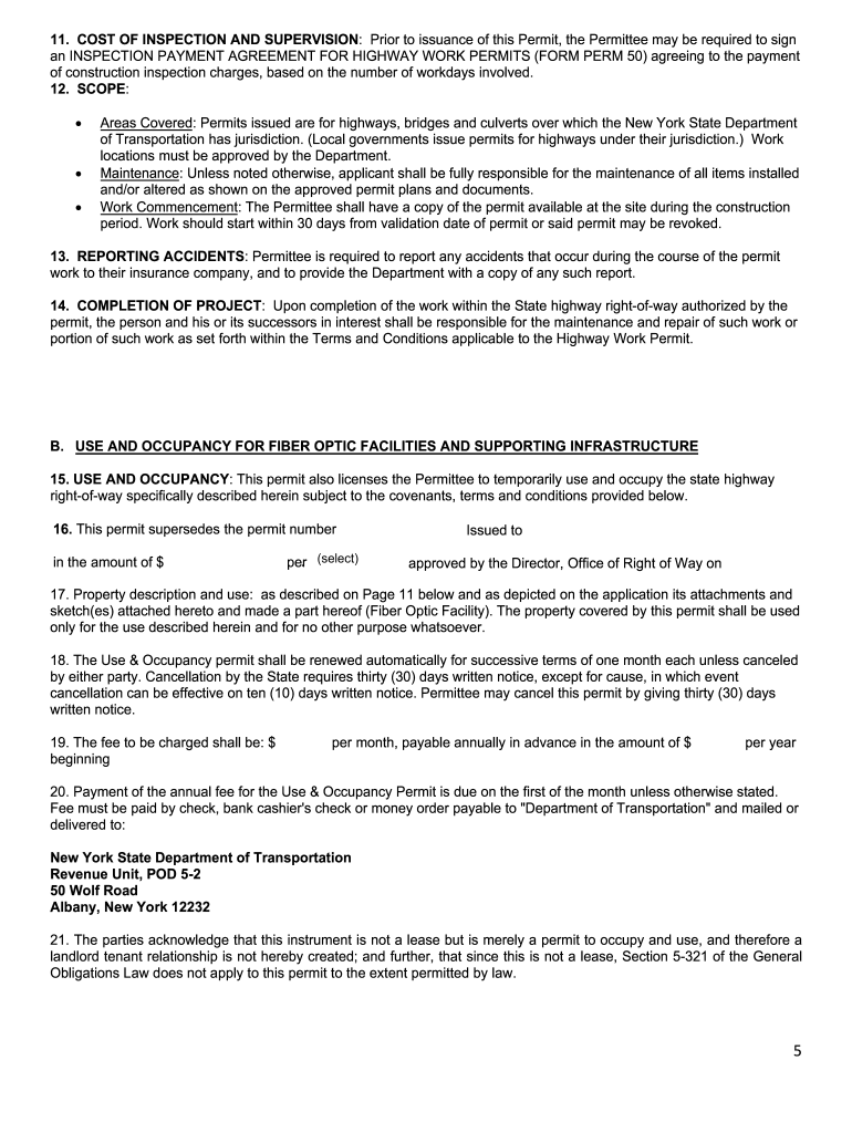
Form PERM 75 Consolidated Application and Permit for Highway Work and Use & Occupancy For Fiber Optic Facilities and Supporting Infrastructure Effective July 20, 2020INSTRUCTIONS FOR COMPLETING THE
We are not affiliated with any brand or entity on this form
Get, Create, Make and Sign wire pipeline and fiber

Edit your wire pipeline and fiber form online
Type text, complete fillable fields, insert images, highlight or blackout data for discretion, add comments, and more.

Add your legally-binding signature
Draw or type your signature, upload a signature image, or capture it with your digital camera.

Share your form instantly
Email, fax, or share your wire pipeline and fiber form via URL. You can also download, print, or export forms to your preferred cloud storage service.
How to edit wire pipeline and fiber online
To use the services of a skilled PDF editor, follow these steps:
1
Create an account. Begin by choosing Start Free Trial and, if you are a new user, establish a profile.
2
Upload a document. Select Add New on your Dashboard and transfer a file into the system in one of the following ways: by uploading it from your device or importing from the cloud, web, or internal mail. Then, click Start editing.
3
Edit wire pipeline and fiber. Rearrange and rotate pages, insert new and alter existing texts, add new objects, and take advantage of other helpful tools. Click Done to apply changes and return to your Dashboard. Go to the Documents tab to access merging, splitting, locking, or unlocking functions.
4
Save your file. Choose it from the list of records. Then, shift the pointer to the right toolbar and select one of the several exporting methods: save it in multiple formats, download it as a PDF, email it, or save it to the cloud.
With pdfFiller, dealing with documents is always straightforward. Try it now!
Uncompromising security for your PDF editing and eSignature needs
Your private information is safe with pdfFiller. We employ end-to-end encryption, secure cloud storage, and advanced access control to protect your documents and maintain regulatory compliance.
How to fill out wire pipeline and fiber

How to fill out wire pipeline and fiber
01
To fill out a wire pipeline and fiber, follow these steps:
02
Prepare the necessary materials such as wires, cables, fiber optic cables, connectors, and splicing tools.
03
Determine the designated path for the wire pipeline and fiber installation.
04
Clear the pathway from any obstacles or obstructions.
05
Begin by laying down the wire pipeline in the designated path, ensuring it is securely positioned and properly supported.
06
If fiber optic cables are also being installed, use appropriate connectors and splicing tools to connect the fibers together.
07
Test the connectivity and ensure proper signal transmission.
08
Securely fasten the wire pipeline and fiber in place using clamps or cable ties.
09
Conduct thorough inspections and testing to verify the integrity and performance of the installed wire pipeline and fiber.
10
Document the installation process for future reference and maintenance purposes.
11
Clean up the worksite and dispose of any waste materials properly.
Who needs wire pipeline and fiber?
01
Wire pipeline and fiber are essential for various industries and applications, including:
02
- Telecommunication companies: They require wire pipelines and fiber optic cables to establish and maintain reliable communication networks.
03
- Internet service providers: Wire pipelines and fiber are necessary to deliver high-speed internet connections to residential and commercial areas.
04
- Data centers: They rely on wire pipelines and fiber to ensure efficient data transmission and storage.
05
- Utility companies: Wire pipelines are needed to distribute electricity and other utilities to households and businesses.
06
- Transportation sector: Wire pipelines and fiber optics are used for traffic management systems, railway signaling, and communication networks.
07
- Industrial facilities: They utilize wire pipelines and fiber for automation, control systems, and factory-wide connectivity.
08
- Government agencies: Wire pipelines and fiber optic cables are utilized for secure communication, surveillance, and data transmission.
09
- Construction and infrastructure projects: Wire pipelines and fiber play a crucial role in establishing connectivity for buildings and infrastructure.
Fill
form
: Try Risk Free
For pdfFiller’s FAQs
Below is a list of the most common customer questions. If you can’t find an answer to your question, please don’t hesitate to reach out to us.
How can I manage my wire pipeline and fiber directly from Gmail?
pdfFiller’s add-on for Gmail enables you to create, edit, fill out and eSign your wire pipeline and fiber and any other documents you receive right in your inbox. Visit Google Workspace Marketplace and install pdfFiller for Gmail. Get rid of time-consuming steps and manage your documents and eSignatures effortlessly.
How can I send wire pipeline and fiber for eSignature?
To distribute your wire pipeline and fiber, simply send it to others and receive the eSigned document back instantly. Post or email a PDF that you've notarized online. Doing so requires never leaving your account.
How do I complete wire pipeline and fiber online?
pdfFiller has made it easy to fill out and sign wire pipeline and fiber. You can use the solution to change and move PDF content, add fields that can be filled in, and sign the document electronically. Start a free trial of pdfFiller, the best tool for editing and filling in documents.
What is wire pipeline and fiber?
Wire pipeline and fiber refer to the physical infrastructure for telecommunications and electrical distribution, where wire pipelines consist of various types of wires and cables used for data transmission, while fiber refers specifically to fiber optic cables that transmit data via light signals.
Who is required to file wire pipeline and fiber?
Entities or companies that own or operate wire pipelines and fiber optic networks are typically required to file wire pipeline and fiber reports, including telecommunications providers and utility companies.
How to fill out wire pipeline and fiber?
To fill out wire pipeline and fiber reports, entities must gather relevant data about their infrastructure, including the length and type of pipelines or fiber, usage statistics, and any compliance information before submitting the required forms in the specified format.
What is the purpose of wire pipeline and fiber?
The purpose of wire pipeline and fiber is to provide a framework for regulating and managing telecommunications infrastructure, ensuring proper reporting of usage, capabilities, and compliance with governmental regulations.
What information must be reported on wire pipeline and fiber?
Reported information typically includes the type and length of pipelines, usage data, infrastructure locations, maintenance records, and compliance with safety and regulatory standards.
Fill out your wire pipeline and fiber online with pdfFiller!
pdfFiller is an end-to-end solution for managing, creating, and editing documents and forms in the cloud. Save time and hassle by preparing your tax forms online.

Wire Pipeline And Fiber is not the form you're looking for?Search for another form here.
Relevant keywords
Related Forms
If you believe that this page should be taken down, please follow our DMCA take down process
here
.
This form may include fields for payment information. Data entered in these fields is not covered by PCI DSS compliance.