Get the free PECOS PARK/SUNFLOWER
Show details
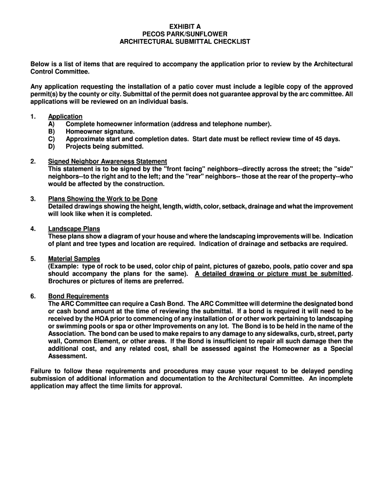
EXHIBIT A
PECOS PARK/SUNFLOWER
ARCHITECTURAL SUBMITTAL CHECKLIST
Below is a list of items that are required to accompany the application prior to review by the Architectural
Control Committee.
Any
We are not affiliated with any brand or entity on this form
Get, Create, Make and Sign pecos parksunflower
Edit your pecos parksunflower form online
Type text, complete fillable fields, insert images, highlight or blackout data for discretion, add comments, and more.
Add your legally-binding signature
Draw or type your signature, upload a signature image, or capture it with your digital camera.
Share your form instantly
Email, fax, or share your pecos parksunflower form via URL. You can also download, print, or export forms to your preferred cloud storage service.
Editing pecos parksunflower online
Follow the steps below to benefit from a competent PDF editor:
1
Register the account. Begin by clicking Start Free Trial and create a profile if you are a new user.
2
Simply add a document. Select Add New from your Dashboard and import a file into the system by uploading it from your device or importing it via the cloud, online, or internal mail. Then click Begin editing.
3
Edit pecos parksunflower. Rearrange and rotate pages, add and edit text, and use additional tools. To save changes and return to your Dashboard, click Done. The Documents tab allows you to merge, divide, lock, or unlock files.
4
Get your file. When you find your file in the docs list, click on its name and choose how you want to save it. To get the PDF, you can save it, send an email with it, or move it to the cloud.
It's easier to work with documents with pdfFiller than you can have believed. You may try it out for yourself by signing up for an account.
Uncompromising security for your PDF editing and eSignature needs
Your private information is safe with pdfFiller. We employ end-to-end encryption, secure cloud storage, and advanced access control to protect your documents and maintain regulatory compliance.
How to fill out pecos parksunflower
How to fill out pecos parksunflower
01
To fill out PECOS Parksunflower, follow these steps:
02
Open the PECOS Parksunflower form.
03
Read the instructions carefully.
04
Provide your personal information such as your name, address, and contact details.
05
Fill in the required fields accurately.
06
Attach any necessary documents or evidence as specified.
07
Review the form for completeness and correctness.
08
Sign and date the form.
09
Submit the form as per the instructions provided.
Who needs pecos parksunflower?
01
PECOS Parksunflower is needed by individuals who:
02
- Want to apply for a parksunflower permit or license.
03
- Wish to participate in events or activities organized by PECOS parksunflower.
04
- Need to provide their information and consent to PECOS parksunflower for various purposes.
05
- Are required by law or regulations to submit the PECOS parksunflower form.
06
- Have any other specific need or requirement related to PECOS parksunflower.
Fill
form
: Try Risk Free
For pdfFiller’s FAQs
Below is a list of the most common customer questions. If you can’t find an answer to your question, please don’t hesitate to reach out to us.
How do I modify my pecos parksunflower in Gmail?
Using pdfFiller's Gmail add-on, you can edit, fill out, and sign your pecos parksunflower and other papers directly in your email. You may get it through Google Workspace Marketplace. Make better use of your time by handling your papers and eSignatures.
How do I fill out pecos parksunflower using my mobile device?
You can quickly make and fill out legal forms with the help of the pdfFiller app on your phone. Complete and sign pecos parksunflower and other documents on your mobile device using the application. If you want to learn more about how the PDF editor works, go to pdfFiller.com.
How can I fill out pecos parksunflower on an iOS device?
Make sure you get and install the pdfFiller iOS app. Next, open the app and log in or set up an account to use all of the solution's editing tools. If you want to open your pecos parksunflower, you can upload it from your device or cloud storage, or you can type the document's URL into the box on the right. After you fill in all of the required fields in the document and eSign it, if that is required, you can save or share it with other people.
What is pecos parksunflower?
Pecos parksunflower is a type of wildflower native to certain regions, known for its bright yellow blooms and ecological importance.
Who is required to file pecos parksunflower?
Individuals or organizations involved in the conservation or management of pecos parksunflower populations are typically required to file reports about this species.
How to fill out pecos parksunflower?
Filling out the pecos parksunflower documentation involves providing accurate data about population counts, habitat conditions, and conservation efforts.
What is the purpose of pecos parksunflower?
The purpose of pecos parksunflower conservation efforts is to protect this species from extinction and preserve its natural habitat.
What information must be reported on pecos parksunflower?
Reports on pecos parksunflower must include details such as population size, location, health status, and any threats to its habitat.
Fill out your pecos parksunflower online with pdfFiller!
pdfFiller is an end-to-end solution for managing, creating, and editing documents and forms in the cloud. Save time and hassle by preparing your tax forms online.
Pecos Parksunflower is not the form you're looking for?Search for another form here.
Relevant keywords
Related Forms
If you believe that this page should be taken down, please follow our DMCA take down process
here
.
This form may include fields for payment information. Data entered in these fields is not covered by PCI DSS compliance.