Get the free BUILDING PERMIT GUIDE FOR RESIDENTIAL ... - rld.state.nm.us
Show details
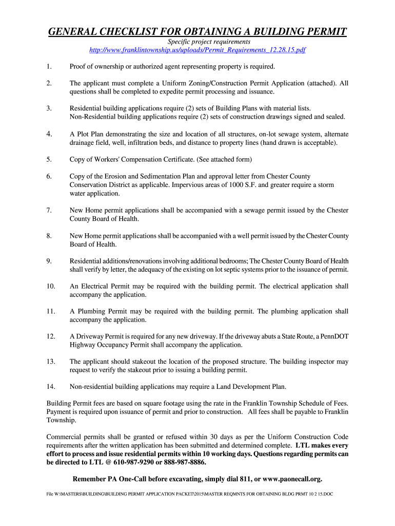
GENERAL CHECKLIST FOR OBTAINING A BUILDING PERMIT
Specific project requirements
http://www.franklintownship.us/uploads/Permit_Requirements_12.28.15.pdf
1. Proof of ownership or authorized agent representing
We are not affiliated with any brand or entity on this form
Get, Create, Make and Sign building permit guide for
Edit your building permit guide for form online
Type text, complete fillable fields, insert images, highlight or blackout data for discretion, add comments, and more.
Add your legally-binding signature
Draw or type your signature, upload a signature image, or capture it with your digital camera.
Share your form instantly
Email, fax, or share your building permit guide for form via URL. You can also download, print, or export forms to your preferred cloud storage service.
How to edit building permit guide for online
Use the instructions below to start using our professional PDF editor:
1
Set up an account. If you are a new user, click Start Free Trial and establish a profile.
2
Upload a file. Select Add New on your Dashboard and upload a file from your device or import it from the cloud, online, or internal mail. Then click Edit.
3
Edit building permit guide for. Rearrange and rotate pages, add and edit text, and use additional tools. To save changes and return to your Dashboard, click Done. The Documents tab allows you to merge, divide, lock, or unlock files.
4
Save your file. Select it from your list of records. Then, move your cursor to the right toolbar and choose one of the exporting options. You can save it in multiple formats, download it as a PDF, send it by email, or store it in the cloud, among other things.
With pdfFiller, it's always easy to work with documents.
Uncompromising security for your PDF editing and eSignature needs
Your private information is safe with pdfFiller. We employ end-to-end encryption, secure cloud storage, and advanced access control to protect your documents and maintain regulatory compliance.
How to fill out building permit guide for
How to fill out building permit guide for
01
Step 1: Determine the type of building permit you need. This could include permits for new construction, remodeling, electrical work, plumbing work, etc.
02
Step 2: Contact your local building department and inquire about the specific requirements for obtaining a building permit. They will provide you with the necessary forms and documents.
03
Step 3: Fill out the building permit application form carefully, providing accurate information regarding the project. Include details such as the project address, scope of work, estimated costs, and any other relevant information.
04
Step 4: Prepare supporting documents for the building permit application. This may include architectural drawings, engineering plans, site plans, and any additional documentation required by your local building department.
05
Step 5: Submit the completed application and supporting documents to the local building department. Pay any required fees as specified by the department.
06
Step 6: Wait for the building department to review your application. This process may take some time, depending on the complexity of the project and the workload of the department.
07
Step 7: If your application is approved, you will receive the building permit. If there are any deficiencies or additional information required, the building department will communicate with you.
08
Step 8: Once you have obtained the building permit, you can proceed with your construction or remodeling project. Make sure to comply with all relevant building codes and regulations during the construction process.
09
Step 9: Inspections may be required at different stages of the project. Contact the building department to schedule the necessary inspections as per their requirements.
10
Step 10: Complete the construction or remodeling project according to the approved plans and specifications. Ensure that all work is carried out in compliance with the building permit conditions and local regulations.
11
Step 11: Notify the building department when the project is complete. They will conduct a final inspection to ensure that the work has been done correctly and in compliance with the building permit.
12
Step 12: Once the final inspection is passed, the building department will issue a certificate of occupancy or completion, indicating that the project meets all necessary requirements.
Who needs building permit guide for?
01
Anyone planning to undertake new construction, remodeling, or certain types of construction work needs a building permit guide. This includes homeowners, contractors, real estate developers, and anyone else involved in construction projects.
02
Building permit guides are necessary to ensure that construction projects comply with all relevant building codes, safety regulations, and zoning requirements. They help to maintain the integrity and safety of structures, protect the environment, and ensure that projects meet the standards set by local authorities.
03
It is important to consult the specific regulations and requirements of your local building department or municipality to determine if a building permit guide is necessary for your project.
Fill
form
: Try Risk Free
For pdfFiller’s FAQs
Below is a list of the most common customer questions. If you can’t find an answer to your question, please don’t hesitate to reach out to us.
Where do I find building permit guide for?
The premium version of pdfFiller gives you access to a huge library of fillable forms (more than 25 million fillable templates). You can download, fill out, print, and sign them all. State-specific building permit guide for and other forms will be easy to find in the library. Find the template you need and use advanced editing tools to make it your own.
How do I edit building permit guide for online?
The editing procedure is simple with pdfFiller. Open your building permit guide for in the editor. You may also add photos, draw arrows and lines, insert sticky notes and text boxes, and more.
How do I fill out building permit guide for using my mobile device?
You can quickly make and fill out legal forms with the help of the pdfFiller app on your phone. Complete and sign building permit guide for and other documents on your mobile device using the application. If you want to learn more about how the PDF editor works, go to pdfFiller.com.
What is building permit guide for?
The building permit guide is a document that provides information and instructions on how to apply for a building permit, detailing the necessary steps, requirements, and regulations.
Who is required to file building permit guide for?
Individuals or entities planning to undertake construction, renovation, or significant alterations to a property are typically required to file a building permit guide.
How to fill out building permit guide for?
To fill out a building permit guide, applicants must provide their personal information, project details, site plans, and any necessary supporting documents as specified by the local authority.
What is the purpose of building permit guide for?
The purpose of the building permit guide is to ensure compliance with local building codes and regulations, promoting safety and proper construction standards.
What information must be reported on building permit guide for?
The building permit guide typically requires the applicant's name and contact information, project description, property details, proposed construction plans, estimated project cost, and any additional documentation required by the local authority.
Fill out your building permit guide for online with pdfFiller!
pdfFiller is an end-to-end solution for managing, creating, and editing documents and forms in the cloud. Save time and hassle by preparing your tax forms online.
Building Permit Guide For is not the form you're looking for?Search for another form here.
Relevant keywords
Related Forms
If you believe that this page should be taken down, please follow our DMCA take down process
here
.
This form may include fields for payment information. Data entered in these fields is not covered by PCI DSS compliance.