
Get the free BUTLER COUNTY BOARD OF COMMISSIONERS Tuesday, December 6, PDF ...
Show details
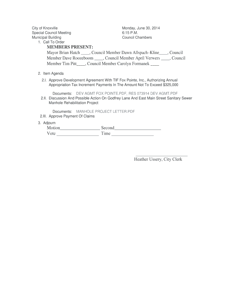
City of Knoxville Special Council Meeting Municipal Building 1. Call To Order Monday, June 30, 2014 6:15 P.M. CouncilChambersMEMBERS PRESENT: Mayor Brian Hatch, Council Member Dawn AllspachKline,
We are not affiliated with any brand or entity on this form
Get, Create, Make and Sign butler county board of

Edit your butler county board of form online
Type text, complete fillable fields, insert images, highlight or blackout data for discretion, add comments, and more.

Add your legally-binding signature
Draw or type your signature, upload a signature image, or capture it with your digital camera.

Share your form instantly
Email, fax, or share your butler county board of form via URL. You can also download, print, or export forms to your preferred cloud storage service.
Editing butler county board of online
Follow the guidelines below to benefit from the PDF editor's expertise:
1
Set up an account. If you are a new user, click Start Free Trial and establish a profile.
2
Prepare a file. Use the Add New button. Then upload your file to the system from your device, importing it from internal mail, the cloud, or by adding its URL.
3
Edit butler county board of. Rearrange and rotate pages, add new and changed texts, add new objects, and use other useful tools. When you're done, click Done. You can use the Documents tab to merge, split, lock, or unlock your files.
4
Save your file. Select it from your list of records. Then, move your cursor to the right toolbar and choose one of the exporting options. You can save it in multiple formats, download it as a PDF, send it by email, or store it in the cloud, among other things.
pdfFiller makes working with documents easier than you could ever imagine. Register for an account and see for yourself!
Uncompromising security for your PDF editing and eSignature needs
Your private information is safe with pdfFiller. We employ end-to-end encryption, secure cloud storage, and advanced access control to protect your documents and maintain regulatory compliance.
How to fill out butler county board of

How to fill out butler county board of
01
To fill out the Butler County Board of [specific form], follow these steps:
02
Start by thoroughly reading the instructions provided with the form. This will ensure that you understand the requirements and can accurately fill out the form.
03
Gather all the necessary information and supporting documents that are required to complete the form. This may include personal identification, relevant financial records, or any other information specific to the form.
04
Begin filling out the form by entering the requested information in the designated fields. Make sure to provide accurate and complete information to avoid any delays or complications.
05
If there are any sections or fields that you are unsure about, refer back to the instructions or seek assistance from the relevant authority or a legal professional.
06
Double-check all the information you have entered before submitting the form. Look for any errors or omissions that may need to be corrected.
07
Once you are confident that the form is filled out correctly, submit it as instructed. This may involve mailing it to a specific address, submitting it online, or delivering it in person.
08
Keep a copy of the completed form for your records, and any receipts or confirmation of submission that you receive.
09
If you have any further questions or concerns, contact the Butler County Board of [specific board] for assistance.
Who needs butler county board of?
01
The Butler County Board of [specific board] may be needed by individuals or organizations who require:
02
- Licensing, permits, or certifications related to activities or operations within Butler County.
03
- Access to specific government services and programs offered by the county.
04
- Documentation or verification from the county for various purposes such as employment, legal matters, or eligibility requirements.
05
- Compliance with county regulations, ordinances, or policies.
06
- Inquiries, complaints, or appeals related to county services or decisions.
Fill
form
: Try Risk Free
For pdfFiller’s FAQs
Below is a list of the most common customer questions. If you can’t find an answer to your question, please don’t hesitate to reach out to us.
How do I complete butler county board of online?
With pdfFiller, you may easily complete and sign butler county board of online. It lets you modify original PDF material, highlight, blackout, erase, and write text anywhere on a page, legally eSign your document, and do a lot more. Create a free account to handle professional papers online.
How do I edit butler county board of in Chrome?
Install the pdfFiller Chrome Extension to modify, fill out, and eSign your butler county board of, which you can access right from a Google search page. Fillable documents without leaving Chrome on any internet-connected device.
How do I fill out butler county board of on an Android device?
On Android, use the pdfFiller mobile app to finish your butler county board of. Adding, editing, deleting text, signing, annotating, and more are all available with the app. All you need is a smartphone and internet.
What is butler county board of?
The Butler County Board of refers to the governing body that oversees the administration and implementation of various county programs and services in Butler County.
Who is required to file butler county board of?
Typically, individuals or entities engaged in business activities within Butler County may be required to file with the Butler County Board of, particularly for licenses or permits.
How to fill out butler county board of?
To fill out the Butler County Board of forms, individuals should gather the necessary information, complete the required sections accurately, and submit it according to the provided instructions.
What is the purpose of butler county board of?
The purpose of the Butler County Board of is to manage and oversee county services, enforce regulations, and ensure that community needs are met in an efficient and effective manner.
What information must be reported on butler county board of?
Reported information may include business details, ownership structure, operational activities, and any other relevant data as required by Butler County regulations.
Fill out your butler county board of online with pdfFiller!
pdfFiller is an end-to-end solution for managing, creating, and editing documents and forms in the cloud. Save time and hassle by preparing your tax forms online.

Butler County Board Of is not the form you're looking for?Search for another form here.
Relevant keywords
Related Forms
If you believe that this page should be taken down, please follow our DMCA take down process
here
.
This form may include fields for payment information. Data entered in these fields is not covered by PCI DSS compliance.