Get the free pdffiller
Show details
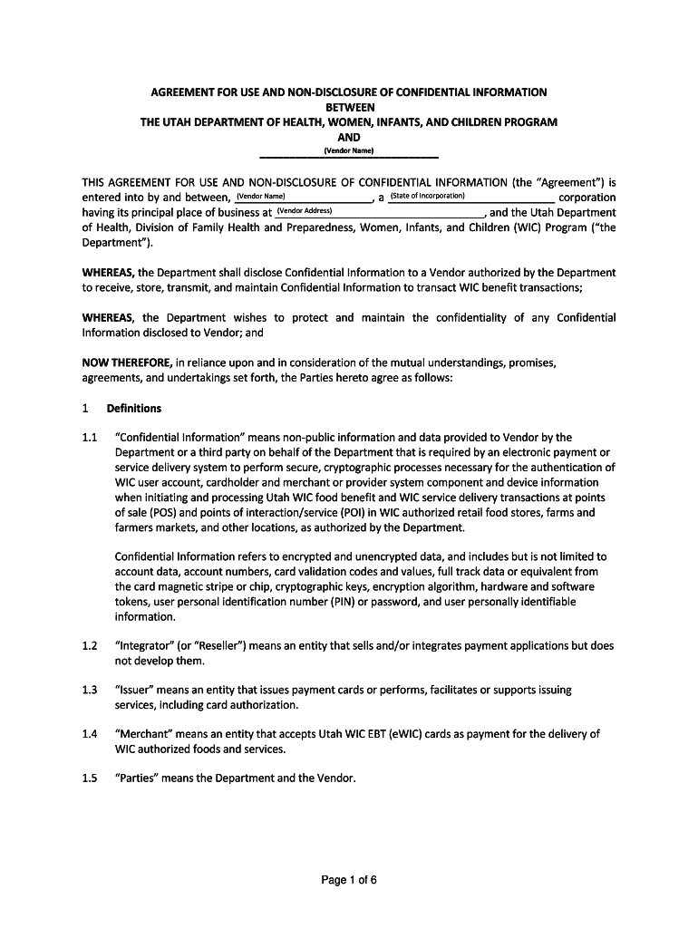
AGREEMENT FOR USE AND NONDISCLOSURE OF CONFIDENTIAL INFORMATION BETWEEN THE UTAH DEPARTMENT OF HEALTH, WOMEN, INFANTS, AND CHILDREN PROGRAM AND (Vendor Name) THIS AGREEMENT FOR USE AND NONDISCLOSURE
We are not affiliated with any brand or entity on this form
Get, Create, Make and Sign pdffiller form
Edit your pdffiller form form online
Type text, complete fillable fields, insert images, highlight or blackout data for discretion, add comments, and more.
Add your legally-binding signature
Draw or type your signature, upload a signature image, or capture it with your digital camera.
Share your form instantly
Email, fax, or share your pdffiller form form via URL. You can also download, print, or export forms to your preferred cloud storage service.
Editing pdffiller form online
To use the professional PDF editor, follow these steps:
1
Set up an account. If you are a new user, click Start Free Trial and establish a profile.
2
Upload a file. Select Add New on your Dashboard and upload a file from your device or import it from the cloud, online, or internal mail. Then click Edit.
3
Edit pdffiller form. Add and replace text, insert new objects, rearrange pages, add watermarks and page numbers, and more. Click Done when you are finished editing and go to the Documents tab to merge, split, lock or unlock the file.
4
Save your file. Choose it from the list of records. Then, shift the pointer to the right toolbar and select one of the several exporting methods: save it in multiple formats, download it as a PDF, email it, or save it to the cloud.
pdfFiller makes working with documents easier than you could ever imagine. Try it for yourself by creating an account!
Uncompromising security for your PDF editing and eSignature needs
Your private information is safe with pdfFiller. We employ end-to-end encryption, secure cloud storage, and advanced access control to protect your documents and maintain regulatory compliance.
How to fill out pdffiller form
How to fill out utah non-disclosure agreement nda
01
To fill out a Utah Non-Disclosure Agreement (NDA), follow these steps:
02
Obtain the NDA form: You can obtain the Utah NDA form from various online legal document providers or consult an attorney.
03
Identify the parties: Clearly identify the parties involved in the agreement. Include their full legal names and addresses.
04
Specify the purpose: Clearly state the purpose for which the NDA is being signed.
05
Define confidential information: Clearly define what constitutes confidential information. This may include trade secrets, proprietary information, customer lists, etc.
06
Obligations of the Receiving Party: Describe the obligations of the receiving party to keep the confidential information secure and not to disclose or use it for unauthorized purposes.
07
Exceptions to confidentiality: Specify any exceptions to the confidentiality obligations, such as information that is already publicly known or information that needs to be disclosed by law.
08
Duration of the agreement: Specify the duration for which the NDA will be in effect. This is typically a certain number of years from the date of signing.
09
Governing law and jurisdiction: Specify the state laws that will govern the agreement and the jurisdiction where any disputes will be resolved.
10
Review and sign: Make sure to carefully review the NDA before signing it. Once reviewed, both parties should sign and date the agreement.
11
Keep copies: It is important for both parties to keep copies of the signed NDA for future reference.
12
Note: It is recommended to consult with an attorney to ensure the NDA meets specific legal requirements and provides adequate protection.
Who needs utah non-disclosure agreement nda?
01
Anyone who wants to protect confidential information in Utah may need a Utah Non-Disclosure Agreement (NDA).
02
This includes businesses, individuals, startups, and organizations that want to ensure that their sensitive information remains confidential when sharing it with others.
03
Common scenarios where NDAs are useful include:
04
- When sharing proprietary business information with a potential investor or partner.
05
- When disclosing trade secrets or technical information to employees or contractors.
06
- When discussing sensitive business strategies or financial information with advisors or consultants.
07
However, it is recommended to consult with an attorney to determine if an NDA is necessary in a specific situation and to ensure the agreement is legally enforceable.
Fill
form
: Try Risk Free
For pdfFiller’s FAQs
Below is a list of the most common customer questions. If you can’t find an answer to your question, please don’t hesitate to reach out to us.
How can I edit pdffiller form from Google Drive?
Simplify your document workflows and create fillable forms right in Google Drive by integrating pdfFiller with Google Docs. The integration will allow you to create, modify, and eSign documents, including pdffiller form, without leaving Google Drive. Add pdfFiller’s functionalities to Google Drive and manage your paperwork more efficiently on any internet-connected device.
Can I edit pdffiller form on an iOS device?
Create, edit, and share pdffiller form from your iOS smartphone with the pdfFiller mobile app. Installing it from the Apple Store takes only a few seconds. You may take advantage of a free trial and select a subscription that meets your needs.
How do I complete pdffiller form on an Android device?
Complete your pdffiller form and other papers on your Android device by using the pdfFiller mobile app. The program includes all of the necessary document management tools, such as editing content, eSigning, annotating, sharing files, and so on. You will be able to view your papers at any time as long as you have an internet connection.
What is utah non-disclosure agreement nda?
A Utah Non-Disclosure Agreement (NDA) is a legally binding contract that prevents parties from disclosing confidential information obtained during their relationship, often used in business settings.
Who is required to file utah non-disclosure agreement nda?
Typically, parties involved in negotiations, agreements, or transactions that require the sharing of sensitive information, such as businesses or individuals in Utah, are required to file an NDA.
How to fill out utah non-disclosure agreement nda?
To fill out a Utah NDA, one must include the names of the parties involved, a definition of confidential information, obligations of the parties, the term of the agreement, and any exclusions from confidentiality.
What is the purpose of utah non-disclosure agreement nda?
The purpose of a Utah NDA is to protect sensitive and confidential information from being disclosed to unauthorized third parties, ensuring that both parties can freely share information without fear of misuse.
What information must be reported on utah non-disclosure agreement nda?
The NDA must report the identities of the parties, a clear definition of what constitutes confidential information, the duties of the parties concerning this information, the duration of confidentiality, and any specific terms related to the handling of disclosed information.
Fill out your pdffiller form online with pdfFiller!
pdfFiller is an end-to-end solution for managing, creating, and editing documents and forms in the cloud. Save time and hassle by preparing your tax forms online.
Pdffiller Form is not the form you're looking for?Search for another form here.
Relevant keywords
Related Forms
If you believe that this page should be taken down, please follow our DMCA take down process
here
.
This form may include fields for payment information. Data entered in these fields is not covered by PCI DSS compliance.