
Get the free Kids Gym Indoor PlaygroundWe Rock The Spectrum Cypress
Show details
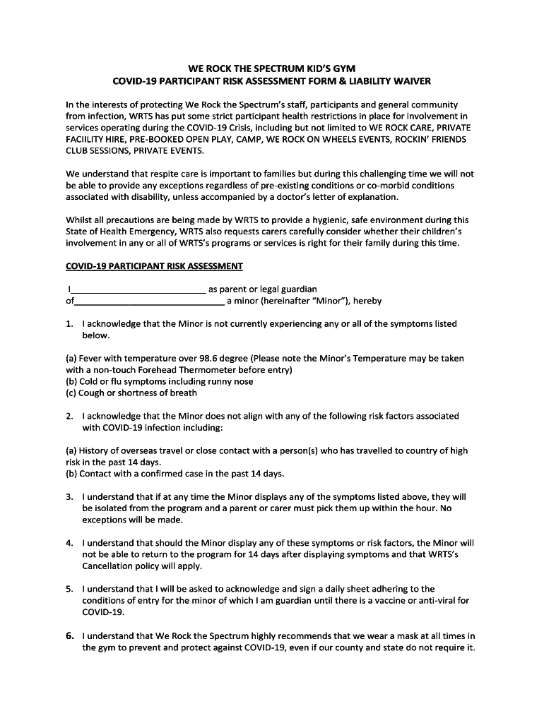
WE ROCK THE SPECTRUM KIDS GYM COVID-19 PARTICIPANT RISK ASSESSMENT FORM & LIABILITY WAIVER In the interests of protecting We Rock the Spectrums staff, participants and general community from infection,
We are not affiliated with any brand or entity on this form
Get, Create, Make and Sign kids gym indoor playgroundwe

Edit your kids gym indoor playgroundwe form online
Type text, complete fillable fields, insert images, highlight or blackout data for discretion, add comments, and more.

Add your legally-binding signature
Draw or type your signature, upload a signature image, or capture it with your digital camera.

Share your form instantly
Email, fax, or share your kids gym indoor playgroundwe form via URL. You can also download, print, or export forms to your preferred cloud storage service.
How to edit kids gym indoor playgroundwe online
To use our professional PDF editor, follow these steps:
1
Create an account. Begin by choosing Start Free Trial and, if you are a new user, establish a profile.
2
Simply add a document. Select Add New from your Dashboard and import a file into the system by uploading it from your device or importing it via the cloud, online, or internal mail. Then click Begin editing.
3
Edit kids gym indoor playgroundwe. Rearrange and rotate pages, insert new and alter existing texts, add new objects, and take advantage of other helpful tools. Click Done to apply changes and return to your Dashboard. Go to the Documents tab to access merging, splitting, locking, or unlocking functions.
4
Get your file. Select your file from the documents list and pick your export method. You may save it as a PDF, email it, or upload it to the cloud.
Uncompromising security for your PDF editing and eSignature needs
Your private information is safe with pdfFiller. We employ end-to-end encryption, secure cloud storage, and advanced access control to protect your documents and maintain regulatory compliance.
How to fill out kids gym indoor playgroundwe

How to fill out kids gym indoor playgroundwe
01
Find a kids gym indoor playground in your area.
02
Check the age limit and entrance requirements.
03
Prepare any necessary paperwork or registration forms.
04
Dress your child in comfortable and appropriate clothing.
05
Follow any rules or guidelines provided by the gym.
06
Allow your child to explore and play in the indoor playground area.
07
Supervise your child's activities and ensure their safety at all times.
08
Engage in activities or games with your child if desired.
09
Clean up any mess or toys used by your child before leaving.
10
Follow any checkout or exit procedures as instructed by the gym staff.
Who needs kids gym indoor playgroundwe?
01
Parents who want their children to have a safe and engaging play space.
02
Families looking for an alternative to outdoor playgrounds during bad weather.
03
Working parents who want their kids to have an active and supervised play environment.
04
Children who enjoy climbing, sliding, and exploring in a play structure.
05
Kids who benefit from socializing and interacting with other children.
06
Birthday party organizers looking for a fun venue for kids.
07
Childcare facilities or schools wanting to provide recreational activities for children.
Fill
form
: Try Risk Free
For pdfFiller’s FAQs
Below is a list of the most common customer questions. If you can’t find an answer to your question, please don’t hesitate to reach out to us.
How do I edit kids gym indoor playgroundwe in Chrome?
Get and add pdfFiller Google Chrome Extension to your browser to edit, fill out and eSign your kids gym indoor playgroundwe, which you can open in the editor directly from a Google search page in just one click. Execute your fillable documents from any internet-connected device without leaving Chrome.
How do I fill out kids gym indoor playgroundwe using my mobile device?
The pdfFiller mobile app makes it simple to design and fill out legal paperwork. Complete and sign kids gym indoor playgroundwe and other papers using the app. Visit pdfFiller's website to learn more about the PDF editor's features.
Can I edit kids gym indoor playgroundwe on an iOS device?
Create, modify, and share kids gym indoor playgroundwe using the pdfFiller iOS app. Easy to install from the Apple Store. You may sign up for a free trial and then purchase a membership.
What is kids gym indoor playgroundwe?
Kids gym indoor playgrounds are recreational facilities designed for children to play, exercise, and engage in physical activities in a safe indoor environment.
Who is required to file kids gym indoor playgroundwe?
Typically, owners or operators of kids gym indoor playgrounds are required to file regulations related to health, safety, and business operations as mandated by local authorities.
How to fill out kids gym indoor playgroundwe?
To fill out the kids gym indoor playground applications, one must provide accurate information concerning the facility, safety measures, and compliance with local regulations. Documentation may include business licenses, safety certifications, and health inspections.
What is the purpose of kids gym indoor playgroundwe?
The purpose of the kids gym indoor playground is to provide a safe, engaging space for children to exercise, socialize, and develop motor skills through play.
What information must be reported on kids gym indoor playgroundwe?
The information that must be reported includes the facility’s address, safety protocols, employee background checks, business structure, and compliance with health regulations.
Fill out your kids gym indoor playgroundwe online with pdfFiller!
pdfFiller is an end-to-end solution for managing, creating, and editing documents and forms in the cloud. Save time and hassle by preparing your tax forms online.

Kids Gym Indoor Playgroundwe is not the form you're looking for?Search for another form here.
Relevant keywords
Related Forms
If you believe that this page should be taken down, please follow our DMCA take down process
here
.
This form may include fields for payment information. Data entered in these fields is not covered by PCI DSS compliance.