Get the free Nomination Form - OVCRD
Show details
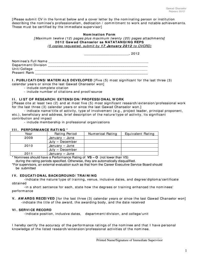
Gawd Chancellor Herero 2012 Please submit CV in the format below and a cover letter by the nominating person or institution describing the nominee s professionalism, dedication / commitment to work
We are not affiliated with any brand or entity on this form
Get, Create, Make and Sign nomination form - ovcrd
Edit your nomination form - ovcrd form online
Type text, complete fillable fields, insert images, highlight or blackout data for discretion, add comments, and more.
Add your legally-binding signature
Draw or type your signature, upload a signature image, or capture it with your digital camera.
Share your form instantly
Email, fax, or share your nomination form - ovcrd form via URL. You can also download, print, or export forms to your preferred cloud storage service.
Editing nomination form - ovcrd online
To use the services of a skilled PDF editor, follow these steps below:
1
Check your account. It's time to start your free trial.
2
Prepare a file. Use the Add New button to start a new project. Then, using your device, upload your file to the system by importing it from internal mail, the cloud, or adding its URL.
3
Edit nomination form - ovcrd. Add and change text, add new objects, move pages, add watermarks and page numbers, and more. Then click Done when you're done editing and go to the Documents tab to merge or split the file. If you want to lock or unlock the file, click the lock or unlock button.
4
Get your file. When you find your file in the docs list, click on its name and choose how you want to save it. To get the PDF, you can save it, send an email with it, or move it to the cloud.
pdfFiller makes working with documents easier than you could ever imagine. Register for an account and see for yourself!
Uncompromising security for your PDF editing and eSignature needs
Your private information is safe with pdfFiller. We employ end-to-end encryption, secure cloud storage, and advanced access control to protect your documents and maintain regulatory compliance.
How to fill out nomination form - ovcrd
How to fill out nomination form - ovcrd:
01
Start by carefully reading all the instructions provided on the nomination form - ovcrd. Make sure you understand the eligibility criteria and requirements for the nomination.
02
Gather all the necessary information and documents that are required to complete the nomination form - ovcrd. This may include personal details, qualifications, achievements, and supporting documents.
03
Fill in your personal information accurately and clearly. This typically includes your full name, contact information, address, and any other relevant details requested.
04
Provide detailed information about your qualifications, achievements, and experiences that make you a suitable candidate for the nomination. Use clear and concise language to highlight your strengths and unique qualities.
05
Pay attention to any specific questions or sections on the form that require additional information, such as a personal statement or references. Take your time to answer these questions thoughtfully and truthfully.
06
If the nomination form - ovcrd requires any supporting documents, make sure to attach them as instructed. Organize the documents neatly and label them appropriately for easy reference.
07
Review your completed nomination form - ovcrd thoroughly before submitting it. Check for any mistakes or omissions, and make necessary corrections to ensure the form is accurate and complete.
08
Follow the submission instructions provided on the form. Submit the form by the designated deadline, either electronically or by mail, as specified.
Who needs nomination form - ovcrd:
The nomination form - ovcrd is typically needed by individuals who are interested in applying for a specific award, recognition, or position. It may be required by organizations, institutions, or committees responsible for selecting candidates and making decisions based on the nominations received. Anyone who wishes to be considered for the particular opportunity or honor, as specified by the ovcrd, will need to fill out this nomination form.
Fill
form
: Try Risk Free
For pdfFiller’s FAQs
Below is a list of the most common customer questions. If you can’t find an answer to your question, please don’t hesitate to reach out to us.
How can I send nomination form - ovcrd for eSignature?
When you're ready to share your nomination form - ovcrd, you can send it to other people and get the eSigned document back just as quickly. Share your PDF by email, fax, text message, or USPS mail. You can also notarize your PDF on the web. You don't have to leave your account to do this.
Can I create an electronic signature for the nomination form - ovcrd in Chrome?
You certainly can. You get not just a feature-rich PDF editor and fillable form builder with pdfFiller, but also a robust e-signature solution that you can add right to your Chrome browser. You may use our addon to produce a legally enforceable eSignature by typing, sketching, or photographing your signature with your webcam. Choose your preferred method and eSign your nomination form - ovcrd in minutes.
How do I edit nomination form - ovcrd on an Android device?
The pdfFiller app for Android allows you to edit PDF files like nomination form - ovcrd. Mobile document editing, signing, and sending. Install the app to ease document management anywhere.
What is nomination form - ovcrd?
The nomination form - ovcrd is a document used to officially nominate a candidate for a specific position or award within the organization.
Who is required to file nomination form - ovcrd?
Any individual who meets the eligibility criteria and wishes to be considered for a particular position or award must file the nomination form - ovcrd.
How to fill out nomination form - ovcrd?
The nomination form - ovcrd can be filled out by providing the requested information accurately and completely, following the instructions provided on the form.
What is the purpose of nomination form - ovcrd?
The purpose of the nomination form - ovcrd is to gather information about the candidates being nominated and to facilitate the selection process for the position or award.
What information must be reported on nomination form - ovcrd?
The nomination form - ovcrd typically requires information such as the candidate's name, contact details, qualifications, and a statement of purpose.
Fill out your nomination form - ovcrd online with pdfFiller!
pdfFiller is an end-to-end solution for managing, creating, and editing documents and forms in the cloud. Save time and hassle by preparing your tax forms online.
Nomination Form - Ovcrd is not the form you're looking for?Search for another form here.
Relevant keywords
Related Forms
If you believe that this page should be taken down, please follow our DMCA take down process
here
.
This form may include fields for payment information. Data entered in these fields is not covered by PCI DSS compliance.