Get the free Welcome to Riverway Business Services
Show details
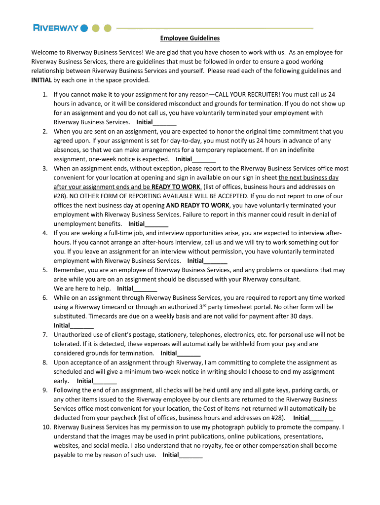
Employee Guidelines
Welcome to River way Business Services! We are glad that you have chosen to work with us. As an employee for
River way Business Services, there are guidelines that must be followed
We are not affiliated with any brand or entity on this form
Get, Create, Make and Sign welcome to riverway business
Edit your welcome to riverway business form online
Type text, complete fillable fields, insert images, highlight or blackout data for discretion, add comments, and more.
Add your legally-binding signature
Draw or type your signature, upload a signature image, or capture it with your digital camera.
Share your form instantly
Email, fax, or share your welcome to riverway business form via URL. You can also download, print, or export forms to your preferred cloud storage service.
Editing welcome to riverway business online
In order to make advantage of the professional PDF editor, follow these steps below:
1
Set up an account. If you are a new user, click Start Free Trial and establish a profile.
2
Prepare a file. Use the Add New button to start a new project. Then, using your device, upload your file to the system by importing it from internal mail, the cloud, or adding its URL.
3
Edit welcome to riverway business. Rearrange and rotate pages, add new and changed texts, add new objects, and use other useful tools. When you're done, click Done. You can use the Documents tab to merge, split, lock, or unlock your files.
4
Get your file. Select the name of your file in the docs list and choose your preferred exporting method. You can download it as a PDF, save it in another format, send it by email, or transfer it to the cloud.
pdfFiller makes dealing with documents a breeze. Create an account to find out!
Uncompromising security for your PDF editing and eSignature needs
Your private information is safe with pdfFiller. We employ end-to-end encryption, secure cloud storage, and advanced access control to protect your documents and maintain regulatory compliance.
How to fill out welcome to riverway business
How to fill out welcome to riverway business
01
Start by opening the welcome to riverway business form.
02
Begin by entering the date in the specified field.
03
Fill in your personal information, including your name, contact information, and address.
04
Provide details about your business, such as the name, type, and industry.
05
Indicate the purpose of the business and the services or products it offers.
06
Specify the target audience or target market for your business.
07
Include any relevant experience or qualifications you have in the industry.
08
Provide a brief description of the business's goals and objectives.
09
Mention any additional information or details that may be required.
10
Review the form for accuracy and completeness before submitting it.
Who needs welcome to riverway business?
01
Entrepreneurs starting a new business
02
Existing businesses looking to update their information
03
Organizations collecting data about local businesses
04
Government agencies or departments
Fill
form
: Try Risk Free
For pdfFiller’s FAQs
Below is a list of the most common customer questions. If you can’t find an answer to your question, please don’t hesitate to reach out to us.
How can I modify welcome to riverway business without leaving Google Drive?
People who need to keep track of documents and fill out forms quickly can connect PDF Filler to their Google Docs account. This means that they can make, edit, and sign documents right from their Google Drive. Make your welcome to riverway business into a fillable form that you can manage and sign from any internet-connected device with this add-on.
How can I get welcome to riverway business?
The pdfFiller premium subscription gives you access to a large library of fillable forms (over 25 million fillable templates) that you can download, fill out, print, and sign. In the library, you'll have no problem discovering state-specific welcome to riverway business and other forms. Find the template you want and tweak it with powerful editing tools.
Can I edit welcome to riverway business on an iOS device?
You can. Using the pdfFiller iOS app, you can edit, distribute, and sign welcome to riverway business. Install it in seconds at the Apple Store. The app is free, but you must register to buy a subscription or start a free trial.
What is welcome to riverway business?
Welcome to Riverway Business is an initiative aimed at supporting local entrepreneurs and businesses by providing information, resources, and networking opportunities.
Who is required to file welcome to riverway business?
All businesses operating within the Riverway region must file welcome to riverway business documentation to comply with local regulations.
How to fill out welcome to riverway business?
To fill out welcome to riverway business, complete the registration form available on the official Riverway website and provide the required business information.
What is the purpose of welcome to riverway business?
The purpose of welcome to riverway business is to facilitate the growth of local businesses, enhance community engagement, and improve economic development within the region.
What information must be reported on welcome to riverway business?
Businesses must report their name, address, type of business, ownership details, and contact information on the welcome to riverway business form.
Fill out your welcome to riverway business online with pdfFiller!
pdfFiller is an end-to-end solution for managing, creating, and editing documents and forms in the cloud. Save time and hassle by preparing your tax forms online.
Welcome To Riverway Business is not the form you're looking for?Search for another form here.
Relevant keywords
Related Forms
If you believe that this page should be taken down, please follow our DMCA take down process
here
.
This form may include fields for payment information. Data entered in these fields is not covered by PCI DSS compliance.