
Get the free Daily Disclosure Form for FTSE A50 (Holiday in HK)rvs-20181226.xlsx
Show details
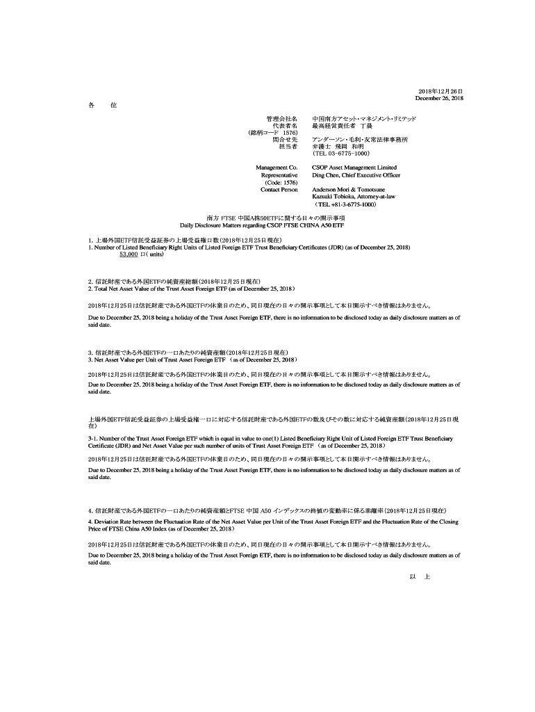
20181226 December 26, 2018 (1576) Management Co. Representative (Code: 1576) Contact Person TEL 0367751000 CROP Asset Management Limited Ding Chen, Chief Executive Officer Anderson More & Tombstone
We are not affiliated with any brand or entity on this form
Get, Create, Make and Sign daily disclosure form for

Edit your daily disclosure form for form online
Type text, complete fillable fields, insert images, highlight or blackout data for discretion, add comments, and more.

Add your legally-binding signature
Draw or type your signature, upload a signature image, or capture it with your digital camera.

Share your form instantly
Email, fax, or share your daily disclosure form for form via URL. You can also download, print, or export forms to your preferred cloud storage service.
Editing daily disclosure form for online
To use our professional PDF editor, follow these steps:
1
Log in. Click Start Free Trial and create a profile if necessary.
2
Upload a file. Select Add New on your Dashboard and upload a file from your device or import it from the cloud, online, or internal mail. Then click Edit.
3
Edit daily disclosure form for. Add and change text, add new objects, move pages, add watermarks and page numbers, and more. Then click Done when you're done editing and go to the Documents tab to merge or split the file. If you want to lock or unlock the file, click the lock or unlock button.
4
Get your file. Select the name of your file in the docs list and choose your preferred exporting method. You can download it as a PDF, save it in another format, send it by email, or transfer it to the cloud.
With pdfFiller, it's always easy to deal with documents. Try it right now
Uncompromising security for your PDF editing and eSignature needs
Your private information is safe with pdfFiller. We employ end-to-end encryption, secure cloud storage, and advanced access control to protect your documents and maintain regulatory compliance.
How to fill out daily disclosure form for

How to fill out daily disclosure form for
01
To fill out the daily disclosure form, follow these steps:
02
Begin by providing your personal information such as your name, contact details, and any identification numbers required.
03
Fill in the date and time of the disclosure.
04
Specify the purpose of the disclosure and provide any relevant details or information.
05
List any names or organizations involved in the disclosure.
06
Provide a detailed account of the disclosure, including any conversations or actions taken.
07
If applicable, attach any supporting documents or evidence to the form.
08
Review the form for accuracy and completeness before submitting it.
09
Sign and date the form to certify that the information provided is true and accurate.
Who needs daily disclosure form for?
01
The daily disclosure form may be required by a variety of individuals or organizations, including:
02
- Employees who need to report daily activities, tasks, or interactions.
03
- Healthcare professionals who need to disclose patient information or medical procedures.
04
- Financial institutions or businesses in regulated industries that need to disclose financial information.
05
- Government agencies or public officials who need to report daily activities or expenditures.
06
- Contractors or service providers who need to provide routine updates or status reports to clients or project managers.
07
- Researchers or academics who need to disclose daily data or findings.
08
- Compliance officers or legal professionals who need to track daily disclosures for regulatory purposes.
Fill
form
: Try Risk Free
For pdfFiller’s FAQs
Below is a list of the most common customer questions. If you can’t find an answer to your question, please don’t hesitate to reach out to us.
Can I create an eSignature for the daily disclosure form for in Gmail?
Create your eSignature using pdfFiller and then eSign your daily disclosure form for immediately from your email with pdfFiller's Gmail add-on. To keep your signatures and signed papers, you must create an account.
How can I fill out daily disclosure form for on an iOS device?
Get and install the pdfFiller application for iOS. Next, open the app and log in or create an account to get access to all of the solution’s editing features. To open your daily disclosure form for, upload it from your device or cloud storage, or enter the document URL. After you complete all of the required fields within the document and eSign it (if that is needed), you can save it or share it with others.
How do I complete daily disclosure form for on an Android device?
On Android, use the pdfFiller mobile app to finish your daily disclosure form for. Adding, editing, deleting text, signing, annotating, and more are all available with the app. All you need is a smartphone and internet.
What is daily disclosure form for?
The daily disclosure form is used to report specific financial transactions and updates on ownership interests in securities to maintain transparency in financial markets.
Who is required to file daily disclosure form for?
Individuals or entities that have significant ownership in certain securities, such as corporate insiders and major shareholders, are required to file the daily disclosure form.
How to fill out daily disclosure form for?
To fill out the daily disclosure form, one must provide details such as the name of the security, the number of shares owned, the nature of the transactions, and any other required identifying information.
What is the purpose of daily disclosure form for?
The purpose of the daily disclosure form is to ensure that investors are aware of significant trading activities by insiders and large shareholders, promoting transparency and fairness in the securities market.
What information must be reported on daily disclosure form for?
The information that must be reported includes the type of transaction, date of the transaction, number of shares bought or sold, price per share, and the date of ownership change.
Fill out your daily disclosure form for online with pdfFiller!
pdfFiller is an end-to-end solution for managing, creating, and editing documents and forms in the cloud. Save time and hassle by preparing your tax forms online.

Daily Disclosure Form For is not the form you're looking for?Search for another form here.
Relevant keywords
Related Forms
If you believe that this page should be taken down, please follow our DMCA take down process
here
.
This form may include fields for payment information. Data entered in these fields is not covered by PCI DSS compliance.