
Get the free PDF Financial Data Form - Demo Scholarship Program
Show details
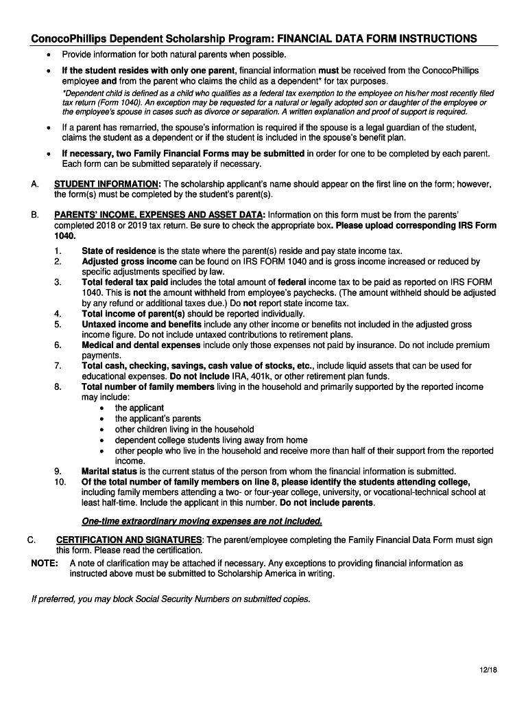
ConocoPhillips Dependent Scholarship Program: FINANCIAL DATA FORM INSTRUCTIONS
Provide information for both natural parents when possible. If the student resides with only one parent, financial information
We are not affiliated with any brand or entity on this form
Get, Create, Make and Sign pdf financial data form

Edit your pdf financial data form form online
Type text, complete fillable fields, insert images, highlight or blackout data for discretion, add comments, and more.

Add your legally-binding signature
Draw or type your signature, upload a signature image, or capture it with your digital camera.

Share your form instantly
Email, fax, or share your pdf financial data form form via URL. You can also download, print, or export forms to your preferred cloud storage service.
Editing pdf financial data form online
Use the instructions below to start using our professional PDF editor:
1
Register the account. Begin by clicking Start Free Trial and create a profile if you are a new user.
2
Upload a file. Select Add New on your Dashboard and upload a file from your device or import it from the cloud, online, or internal mail. Then click Edit.
3
Edit pdf financial data form. Rearrange and rotate pages, add and edit text, and use additional tools. To save changes and return to your Dashboard, click Done. The Documents tab allows you to merge, divide, lock, or unlock files.
4
Save your file. Select it from your list of records. Then, move your cursor to the right toolbar and choose one of the exporting options. You can save it in multiple formats, download it as a PDF, send it by email, or store it in the cloud, among other things.
It's easier to work with documents with pdfFiller than you can have ever thought. Sign up for a free account to view.
Uncompromising security for your PDF editing and eSignature needs
Your private information is safe with pdfFiller. We employ end-to-end encryption, secure cloud storage, and advanced access control to protect your documents and maintain regulatory compliance.
How to fill out pdf financial data form

How to fill out pdf financial data form
01
Open the PDF financial data form on your device using a compatible PDF viewer.
02
Begin by entering your personal information, such as your full name, address, and contact details, in the designated fields.
03
Fill in the required financial data, including your income, expenses, assets, and liabilities, in the respective sections of the form.
04
Make sure to double-check all the entered information for accuracy and completeness.
05
If there are any additional supporting documents required, ensure they are attached or referenced correctly.
06
Review the completed form once again to ensure all the necessary information has been provided.
07
Save the filled-out PDF financial data form on your device or print it out as per the instructions provided.
Who needs pdf financial data form?
01
The PDF financial data form is typically required by individuals or organizations who need to gather or submit comprehensive financial information.
02
This form may be used by banks, financial institutions, tax authorities, accounting firms, or individuals applying for loans, mortgages, credit cards, or tax filings.
03
It is also used by businesses to collect financial data from their clients or customers for various purposes, such as conducting credit checks or assessing financial suitability.
Fill
form
: Try Risk Free
For pdfFiller’s FAQs
Below is a list of the most common customer questions. If you can’t find an answer to your question, please don’t hesitate to reach out to us.
Where do I find pdf financial data form?
The premium pdfFiller subscription gives you access to over 25M fillable templates that you can download, fill out, print, and sign. The library has state-specific pdf financial data form and other forms. Find the template you need and change it using powerful tools.
How do I execute pdf financial data form online?
pdfFiller has made it easy to fill out and sign pdf financial data form. You can use the solution to change and move PDF content, add fields that can be filled in, and sign the document electronically. Start a free trial of pdfFiller, the best tool for editing and filling in documents.
Can I create an eSignature for the pdf financial data form in Gmail?
Create your eSignature using pdfFiller and then eSign your pdf financial data form immediately from your email with pdfFiller's Gmail add-on. To keep your signatures and signed papers, you must create an account.
What is pdf financial data form?
The PDF financial data form is a standardized document used to report financial information for various purposes, such as tax reporting, compliance, or other regulatory requirements.
Who is required to file pdf financial data form?
Individuals and organizations that meet certain income thresholds or business criteria set by regulatory authorities are required to file the PDF financial data form.
How to fill out pdf financial data form?
To fill out the PDF financial data form, download the form, enter the required financial information accurately, ensure all sections are completed, and then submit it according to the filing instructions provided.
What is the purpose of pdf financial data form?
The purpose of the PDF financial data form is to collect and report accurate financial data for assessment, compliance, or regulatory review by authorities, ensuring transparency and accountability.
What information must be reported on pdf financial data form?
The information that must be reported typically includes income, expenses, assets, liabilities, and other relevant financial data that can affect tax or regulatory obligations.
Fill out your pdf financial data form online with pdfFiller!
pdfFiller is an end-to-end solution for managing, creating, and editing documents and forms in the cloud. Save time and hassle by preparing your tax forms online.

Pdf Financial Data Form is not the form you're looking for?Search for another form here.
Relevant keywords
Related Forms
If you believe that this page should be taken down, please follow our DMCA take down process
here
.
This form may include fields for payment information. Data entered in these fields is not covered by PCI DSS compliance.