
Get the free USERRA-RTD-Election-Form.pdf
Show details
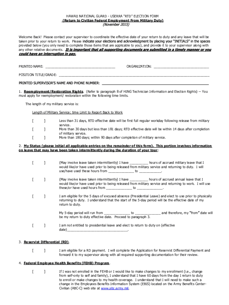
HAWAII NATIONAL GUARD SERRA “RTD ELECTION FORM (Return to Civilian Federal Employment From Military Duty)Welcome Back! Please contact your supervisor to coordinate the effective date of your return
We are not affiliated with any brand or entity on this form
Get, Create, Make and Sign userra-rtd-election-formpdf

Edit your userra-rtd-election-formpdf form online
Type text, complete fillable fields, insert images, highlight or blackout data for discretion, add comments, and more.

Add your legally-binding signature
Draw or type your signature, upload a signature image, or capture it with your digital camera.

Share your form instantly
Email, fax, or share your userra-rtd-election-formpdf form via URL. You can also download, print, or export forms to your preferred cloud storage service.
Editing userra-rtd-election-formpdf online
To use the professional PDF editor, follow these steps:
1
Register the account. Begin by clicking Start Free Trial and create a profile if you are a new user.
2
Prepare a file. Use the Add New button. Then upload your file to the system from your device, importing it from internal mail, the cloud, or by adding its URL.
3
Edit userra-rtd-election-formpdf. Rearrange and rotate pages, insert new and alter existing texts, add new objects, and take advantage of other helpful tools. Click Done to apply changes and return to your Dashboard. Go to the Documents tab to access merging, splitting, locking, or unlocking functions.
4
Get your file. When you find your file in the docs list, click on its name and choose how you want to save it. To get the PDF, you can save it, send an email with it, or move it to the cloud.
pdfFiller makes dealing with documents a breeze. Create an account to find out!
Uncompromising security for your PDF editing and eSignature needs
Your private information is safe with pdfFiller. We employ end-to-end encryption, secure cloud storage, and advanced access control to protect your documents and maintain regulatory compliance.
How to fill out userra-rtd-election-formpdf

How to fill out userra-rtd-election-formpdf
01
Open the userra-rtd-election-formpdf document.
02
Read and understand the instructions carefully.
03
Fill out your personal information in the designated fields, such as your name, address, and contact details.
04
Provide your employer's information, including their name, address, and contact details.
05
Fill in the dates of your military service and the corresponding periods of your employment with the employer.
06
Select the type of election you are making and provide any additional information required.
07
Sign and date the form at the designated section.
08
Review the completed form to ensure all the information is accurate and complete.
09
Make a copy of the filled-out form for your records.
10
Submit the original form to the appropriate entity or individual as indicated in the instructions.
Who needs userra-rtd-election-formpdf?
01
The userra-rtd-election-formpdf is needed by employees who have been absent from their civilian job due to military service and wish to elect to have their seniority, status, and benefits preserved as if they had been continuously employed.
Fill
form
: Try Risk Free
For pdfFiller’s FAQs
Below is a list of the most common customer questions. If you can’t find an answer to your question, please don’t hesitate to reach out to us.
How do I complete userra-rtd-election-formpdf online?
Easy online userra-rtd-election-formpdf completion using pdfFiller. Also, it allows you to legally eSign your form and change original PDF material. Create a free account and manage documents online.
Can I edit userra-rtd-election-formpdf on an iOS device?
Use the pdfFiller app for iOS to make, edit, and share userra-rtd-election-formpdf from your phone. Apple's store will have it up and running in no time. It's possible to get a free trial and choose a subscription plan that fits your needs.
How do I fill out userra-rtd-election-formpdf on an Android device?
Complete your userra-rtd-election-formpdf and other papers on your Android device by using the pdfFiller mobile app. The program includes all of the necessary document management tools, such as editing content, eSigning, annotating, sharing files, and so on. You will be able to view your papers at any time as long as you have an internet connection.
What is userra-rtd-election-formpdf?
The userra-rtd-election-formpdf is a document used to elect or designate a representative to act on behalf of an eligible employee under the Uniformed Services Employment and Reemployment Rights Act (USERRA) for certain benefits or rights.
Who is required to file userra-rtd-election-formpdf?
The form must be filed by employers or organizations that wish to comply with USERRA regulations and that have employees who are eligible for reemployment rights after military service.
How to fill out userra-rtd-election-formpdf?
To fill out the userra-rtd-election-formpdf, complete all required sections including personal information of the employee, employer details, and specify the representative's name and contact information, then submit the completed form according to the provided instructions.
What is the purpose of userra-rtd-election-formpdf?
The purpose of the userra-rtd-election-formpdf is to formally acknowledge and document the designation of a representative by the employee, ensuring the appropriate parties are notified regarding the employee's rights under USERRA.
What information must be reported on userra-rtd-election-formpdf?
The form requires information such as the employee's name, contact information, military service details, employer information, and the designated representative's details.
Fill out your userra-rtd-election-formpdf online with pdfFiller!
pdfFiller is an end-to-end solution for managing, creating, and editing documents and forms in the cloud. Save time and hassle by preparing your tax forms online.

Userra-Rtd-Election-Formpdf is not the form you're looking for?Search for another form here.
Relevant keywords
Related Forms
If you believe that this page should be taken down, please follow our DMCA take down process
here
.
This form may include fields for payment information. Data entered in these fields is not covered by PCI DSS compliance.