Get the free Common Data Set Office of Institutional Research and ...
Show details
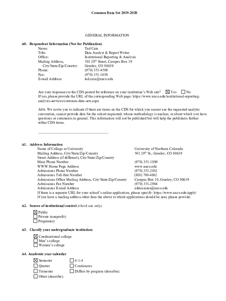
Common Data Set 20192020GENERAL INFORMATION A0. Respondent Information (Not for Publication) Name: Ted Cain Title: Data Analyst & Report Writer Office: Institutional Reporting & Analysis Mailing Address,
We are not affiliated with any brand or entity on this form
Get, Create, Make and Sign common data set office
Edit your common data set office form online
Type text, complete fillable fields, insert images, highlight or blackout data for discretion, add comments, and more.
Add your legally-binding signature
Draw or type your signature, upload a signature image, or capture it with your digital camera.
Share your form instantly
Email, fax, or share your common data set office form via URL. You can also download, print, or export forms to your preferred cloud storage service.
How to edit common data set office online
To use the professional PDF editor, follow these steps:
1
Log in. Click Start Free Trial and create a profile if necessary.
2
Upload a file. Select Add New on your Dashboard and upload a file from your device or import it from the cloud, online, or internal mail. Then click Edit.
3
Edit common data set office. Rearrange and rotate pages, add new and changed texts, add new objects, and use other useful tools. When you're done, click Done. You can use the Documents tab to merge, split, lock, or unlock your files.
4
Save your file. Choose it from the list of records. Then, shift the pointer to the right toolbar and select one of the several exporting methods: save it in multiple formats, download it as a PDF, email it, or save it to the cloud.
It's easier to work with documents with pdfFiller than you can have ever thought. You may try it out for yourself by signing up for an account.
Uncompromising security for your PDF editing and eSignature needs
Your private information is safe with pdfFiller. We employ end-to-end encryption, secure cloud storage, and advanced access control to protect your documents and maintain regulatory compliance.
How to fill out common data set office
How to fill out common data set office
01
To fill out the Common Data Set (CDS) office, follow these steps:
02
Start by accessing the official CDS website or platform.
03
Register or login to your account (if required).
04
Navigate to the appropriate section or form where you can fill out the office details.
05
Provide the necessary information as requested in each field or question.
06
Double-check your entries for accuracy and completeness.
07
Save or submit the filled-out office data according to the instructions provided.
08
Follow any additional steps or requirements mentioned on the platform.
09
If applicable, print a copy or save a digital copy of the completed office form for your records.
10
Keep track of any deadlines or submission dates related to the Common Data Set office.
11
If you encounter any issues or have questions, refer to the help resources or contact the support team available on the CDS platform.
Who needs common data set office?
01
Common Data Set office is typically needed by educational institutions, such as colleges and universities.
02
These institutions use the Common Data Set to collect and exchange standardized information about their institutions.
03
It is often used by admissions and data analysis offices to support research, decision-making, and college/university rankings.
04
Other stakeholders, such as researchers, government organizations, or prospective students, may also access the Common Data Set office to gather specific information about institutions or make informed comparisons.
Fill
form
: Try Risk Free
For pdfFiller’s FAQs
Below is a list of the most common customer questions. If you can’t find an answer to your question, please don’t hesitate to reach out to us.
How do I modify my common data set office in Gmail?
Using pdfFiller's Gmail add-on, you can edit, fill out, and sign your common data set office and other papers directly in your email. You may get it through Google Workspace Marketplace. Make better use of your time by handling your papers and eSignatures.
How can I modify common data set office without leaving Google Drive?
Using pdfFiller with Google Docs allows you to create, amend, and sign documents straight from your Google Drive. The add-on turns your common data set office into a dynamic fillable form that you can manage and eSign from anywhere.
How do I fill out the common data set office form on my smartphone?
Use the pdfFiller mobile app to fill out and sign common data set office on your phone or tablet. Visit our website to learn more about our mobile apps, how they work, and how to get started.
What is common data set office?
The Common Data Set (CDS) office is a collaborative effort between higher education institutions and publishers to standardize the collection and reporting of data about colleges and universities, enhancing transparency and accessibility for prospective students.
Who is required to file common data set office?
Colleges and universities that participate in the CDS initiative are required to file the Common Data Set, typically including both public and private institutions that wish to share standardized data with potential students and their families.
How to fill out common data set office?
To fill out the Common Data Set, institutions collect relevant data from various departments, follow the standardized CDS format, and ensure accuracy by adhering to guidelines provided by the CDS initiative before submission.
What is the purpose of common data set office?
The purpose of the Common Data Set office is to provide a set of standardized data points about institutions, aiding in comparisons by prospective students and families, thereby promoting informed decision-making in the college selection process.
What information must be reported on common data set office?
The information that must be reported includes data on enrollment, admissions, academic offerings, financial aid, student life, and other institutional characteristics that help provide a comprehensive overview of the college or university.
Fill out your common data set office online with pdfFiller!
pdfFiller is an end-to-end solution for managing, creating, and editing documents and forms in the cloud. Save time and hassle by preparing your tax forms online.
Common Data Set Office is not the form you're looking for?Search for another form here.
Relevant keywords
Related Forms
If you believe that this page should be taken down, please follow our DMCA take down process
here
.
This form may include fields for payment information. Data entered in these fields is not covered by PCI DSS compliance.