
Get the free DONALD C - Lemoore Union High School District
Show details
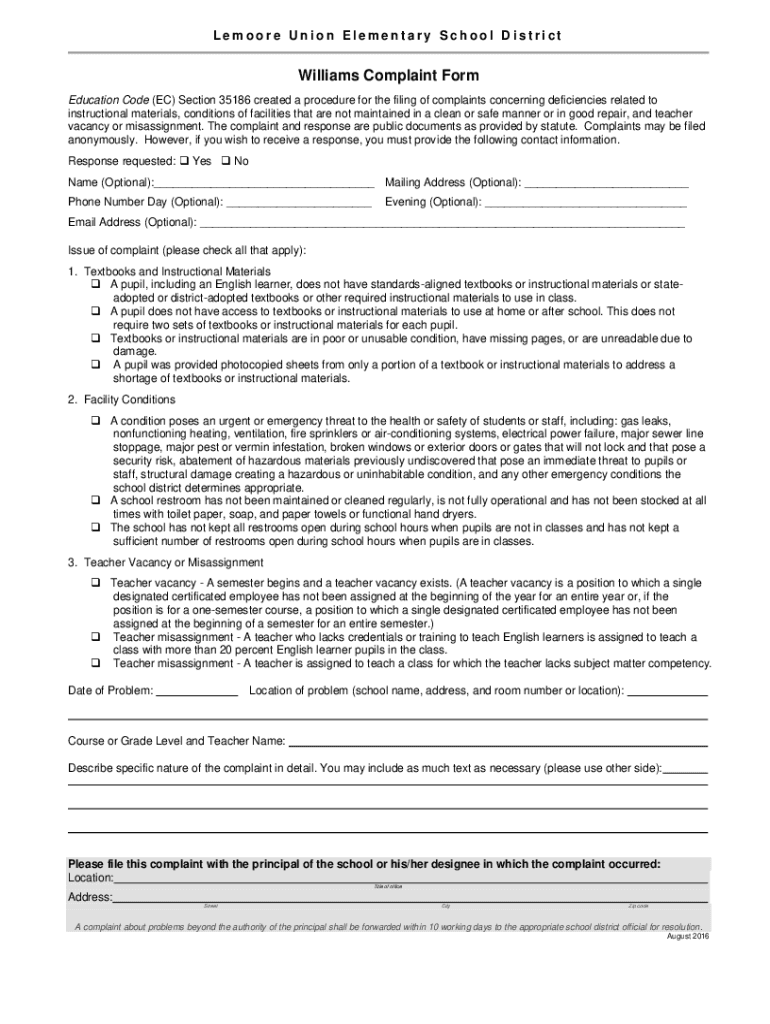
Lemaitre Union Elementary School District Williams Complaint Form
Education Code (EC) Section 35186 created a procedure for the filing of complaints concerning deficiencies related to
instructional
We are not affiliated with any brand or entity on this form
Get, Create, Make and Sign donald c - lemoore

Edit your donald c - lemoore form online
Type text, complete fillable fields, insert images, highlight or blackout data for discretion, add comments, and more.

Add your legally-binding signature
Draw or type your signature, upload a signature image, or capture it with your digital camera.

Share your form instantly
Email, fax, or share your donald c - lemoore form via URL. You can also download, print, or export forms to your preferred cloud storage service.
Editing donald c - lemoore online
Follow the guidelines below to use a professional PDF editor:
1
Check your account. In case you're new, it's time to start your free trial.
2
Simply add a document. Select Add New from your Dashboard and import a file into the system by uploading it from your device or importing it via the cloud, online, or internal mail. Then click Begin editing.
3
Edit donald c - lemoore. Rearrange and rotate pages, insert new and alter existing texts, add new objects, and take advantage of other helpful tools. Click Done to apply changes and return to your Dashboard. Go to the Documents tab to access merging, splitting, locking, or unlocking functions.
4
Get your file. When you find your file in the docs list, click on its name and choose how you want to save it. To get the PDF, you can save it, send an email with it, or move it to the cloud.
Dealing with documents is always simple with pdfFiller. Try it right now
Uncompromising security for your PDF editing and eSignature needs
Your private information is safe with pdfFiller. We employ end-to-end encryption, secure cloud storage, and advanced access control to protect your documents and maintain regulatory compliance.
How to fill out donald c - lemoore

How to fill out donald c - lemoore
01
First, gather all the necessary information such as personal details, employment history, and educational background.
02
Start by entering your full name in the appropriate field.
03
Provide your date of birth, contact information, and social security number if required.
04
If you have any aliases or previous names, make sure to include those as well.
05
Fill out the section related to your current address, including street address, city, state, and zip code.
06
The form may ask for information about your parents, spouse, or children. Complete these sections accordingly.
07
Next, provide details about your employment history. Include the name of the company, your job title, dates of employment, and responsibilities.
08
If applicable, provide information about your educational background, including the name of the institution, degree obtained, and dates of attendance.
09
Review the form for accuracy and completeness before submitting it.
10
Sign and date the form as required.
11
Make a copy of the filled-out form for your records before sending it to the designated recipient.
Who needs donald c - lemoore?
01
Donald C - Lemoore form may be needed by individuals who require a comprehensive record of their personal and employment information. It is commonly used for various purposes, such as job applications, background checks, and government related forms.
Fill
form
: Try Risk Free
For pdfFiller’s FAQs
Below is a list of the most common customer questions. If you can’t find an answer to your question, please don’t hesitate to reach out to us.
How can I send donald c - lemoore for eSignature?
Once your donald c - lemoore is ready, you can securely share it with recipients and collect eSignatures in a few clicks with pdfFiller. You can send a PDF by email, text message, fax, USPS mail, or notarize it online - right from your account. Create an account now and try it yourself.
Can I sign the donald c - lemoore electronically in Chrome?
Yes. By adding the solution to your Chrome browser, you may use pdfFiller to eSign documents while also enjoying all of the PDF editor's capabilities in one spot. Create a legally enforceable eSignature by sketching, typing, or uploading a photo of your handwritten signature using the extension. Whatever option you select, you'll be able to eSign your donald c - lemoore in seconds.
How do I fill out the donald c - lemoore form on my smartphone?
On your mobile device, use the pdfFiller mobile app to complete and sign donald c - lemoore. Visit our website (https://edit-pdf-ios-android.pdffiller.com/) to discover more about our mobile applications, the features you'll have access to, and how to get started.
What is donald c - lemoore?
Donald C. Lemoore is a specific tax form or tax obligation related to businesses or individuals, typically for reporting certain financial information to tax authorities.
Who is required to file donald c - lemoore?
Individuals or businesses that meet certain criteria as defined by the tax regulations governing the Donald C. Lemoore filing are required to file this form.
How to fill out donald c - lemoore?
To fill out Donald C. Lemoore, gather the required financial documents, follow the instructions provided with the form, and ensure all data is accurate before submission.
What is the purpose of donald c - lemoore?
The purpose of Donald C. Lemoore is to report specific financial information to tax authorities, ensuring compliance and proper assessment of taxes owed.
What information must be reported on donald c - lemoore?
Information reported on Donald C. Lemoore typically includes income, expenses, and other financial details relevant to the tax assessment.
Fill out your donald c - lemoore online with pdfFiller!
pdfFiller is an end-to-end solution for managing, creating, and editing documents and forms in the cloud. Save time and hassle by preparing your tax forms online.

Donald C - Lemoore is not the form you're looking for?Search for another form here.
Relevant keywords
Related Forms
If you believe that this page should be taken down, please follow our DMCA take down process
here
.
This form may include fields for payment information. Data entered in these fields is not covered by PCI DSS compliance.