Get the free On-campus housing for Winter Term is NOT guaranteed
Show details
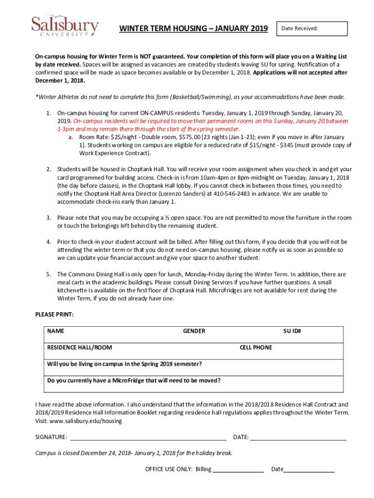
WINTER TERM HOUSING JANUARY 2019Date Received:On campus housing for Winter Term is NOT guaranteed. Your completion of this form will place you on a Waiting List by date received. Spaces will be assigned
We are not affiliated with any brand or entity on this form
Get, Create, Make and Sign on-campus housing for winter
Edit your on-campus housing for winter form online
Type text, complete fillable fields, insert images, highlight or blackout data for discretion, add comments, and more.
Add your legally-binding signature
Draw or type your signature, upload a signature image, or capture it with your digital camera.
Share your form instantly
Email, fax, or share your on-campus housing for winter form via URL. You can also download, print, or export forms to your preferred cloud storage service.
Editing on-campus housing for winter online
Here are the steps you need to follow to get started with our professional PDF editor:
1
Log into your account. If you don't have a profile yet, click Start Free Trial and sign up for one.
2
Prepare a file. Use the Add New button. Then upload your file to the system from your device, importing it from internal mail, the cloud, or by adding its URL.
3
Edit on-campus housing for winter. Add and change text, add new objects, move pages, add watermarks and page numbers, and more. Then click Done when you're done editing and go to the Documents tab to merge or split the file. If you want to lock or unlock the file, click the lock or unlock button.
4
Get your file. Select your file from the documents list and pick your export method. You may save it as a PDF, email it, or upload it to the cloud.
It's easier to work with documents with pdfFiller than you could have believed. Sign up for a free account to view.
Uncompromising security for your PDF editing and eSignature needs
Your private information is safe with pdfFiller. We employ end-to-end encryption, secure cloud storage, and advanced access control to protect your documents and maintain regulatory compliance.
How to fill out on-campus housing for winter
How to fill out on-campus housing for winter
01
Contact the housing department at your university to inquire about the availability of on-campus housing for the winter semester.
02
Fill out the on-campus housing application form provided by the housing department.
03
Make sure to provide all the required information accurately, including your personal details, preferences, and any special accommodation needs.
04
Submit the completed application form within the specified deadline.
05
Pay any necessary fees or deposits required for the on-campus housing application.
06
Await notification from the housing department regarding the status of your application.
07
If your application is approved, follow the instructions provided to secure your on-campus housing for the winter semester.
Who needs on-campus housing for winter?
01
Students who are attending the university during the winter semester and prefer the convenience and proximity of living on-campus.
02
Students who are new to the university and may not have other accommodation options readily available.
03
Students who want to be part of the university community and engage in various on-campus activities and events.
04
Students who find it more convenient to access university resources, such as libraries, study areas, and academic support services while living on-campus.
05
Students who value the social aspect of living on-campus and want to develop connections with fellow students.
Fill
form
: Try Risk Free
For pdfFiller’s FAQs
Below is a list of the most common customer questions. If you can’t find an answer to your question, please don’t hesitate to reach out to us.
Can I create an electronic signature for the on-campus housing for winter in Chrome?
Yes, you can. With pdfFiller, you not only get a feature-rich PDF editor and fillable form builder but a powerful e-signature solution that you can add directly to your Chrome browser. Using our extension, you can create your legally-binding eSignature by typing, drawing, or capturing a photo of your signature using your webcam. Choose whichever method you prefer and eSign your on-campus housing for winter in minutes.
How do I fill out the on-campus housing for winter form on my smartphone?
On your mobile device, use the pdfFiller mobile app to complete and sign on-campus housing for winter. Visit our website (https://edit-pdf-ios-android.pdffiller.com/) to discover more about our mobile applications, the features you'll have access to, and how to get started.
How do I fill out on-campus housing for winter on an Android device?
On an Android device, use the pdfFiller mobile app to finish your on-campus housing for winter. The program allows you to execute all necessary document management operations, such as adding, editing, and removing text, signing, annotating, and more. You only need a smartphone and an internet connection.
What is on-campus housing for winter?
On-campus housing for winter refers to residential accommodations provided by a university or college during the winter session or break, allowing students to remain on campus.
Who is required to file on-campus housing for winter?
Students who wish to stay in on-campus housing during the winter session are typically required to file for on-campus housing.
How to fill out on-campus housing for winter?
To fill out on-campus housing for winter, students usually need to complete an application form available on the university's housing website, providing necessary personal and academic details.
What is the purpose of on-campus housing for winter?
The purpose of on-campus housing for winter is to provide students a space to live while attending winter courses, engaging in research, or participating in other academic activities during the winter term.
What information must be reported on on-campus housing for winter?
Students must report personal details, current enrollment status, intended occupancy dates, and any special accommodation needs in their application for on-campus housing for winter.
Fill out your on-campus housing for winter online with pdfFiller!
pdfFiller is an end-to-end solution for managing, creating, and editing documents and forms in the cloud. Save time and hassle by preparing your tax forms online.
On-Campus Housing For Winter is not the form you're looking for?Search for another form here.
Relevant keywords
Related Forms
If you believe that this page should be taken down, please follow our DMCA take down process
here
.
This form may include fields for payment information. Data entered in these fields is not covered by PCI DSS compliance.