
Get the free AGREEMENT FOR SALARY REDUCTION MARQUETTE UNIVERSITY ...
Show details
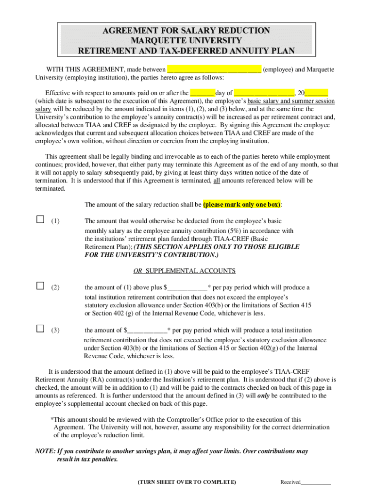
AGREEMENT FOR SALARY REDUCTION MARQUETTE UNIVERSITY RETIREMENT AND DEFERRED ANNUITY PLAN WITH THIS AGREEMENT, made between (employee) and Marquette University (employing institution), the parties
We are not affiliated with any brand or entity on this form
Get, Create, Make and Sign agreement for salary reduction

Edit your agreement for salary reduction form online
Type text, complete fillable fields, insert images, highlight or blackout data for discretion, add comments, and more.

Add your legally-binding signature
Draw or type your signature, upload a signature image, or capture it with your digital camera.

Share your form instantly
Email, fax, or share your agreement for salary reduction form via URL. You can also download, print, or export forms to your preferred cloud storage service.
Editing agreement for salary reduction online
To use our professional PDF editor, follow these steps:
1
Log in to your account. Click Start Free Trial and register a profile if you don't have one.
2
Upload a document. Select Add New on your Dashboard and transfer a file into the system in one of the following ways: by uploading it from your device or importing from the cloud, web, or internal mail. Then, click Start editing.
3
Edit agreement for salary reduction. Rearrange and rotate pages, insert new and alter existing texts, add new objects, and take advantage of other helpful tools. Click Done to apply changes and return to your Dashboard. Go to the Documents tab to access merging, splitting, locking, or unlocking functions.
4
Save your file. Select it from your list of records. Then, move your cursor to the right toolbar and choose one of the exporting options. You can save it in multiple formats, download it as a PDF, send it by email, or store it in the cloud, among other things.
It's easier to work with documents with pdfFiller than you can have ever thought. Sign up for a free account to view.
Uncompromising security for your PDF editing and eSignature needs
Your private information is safe with pdfFiller. We employ end-to-end encryption, secure cloud storage, and advanced access control to protect your documents and maintain regulatory compliance.
How to fill out agreement for salary reduction

How to fill out agreement for salary reduction
01
To fill out an agreement for salary reduction, follow these steps:
02
Start by stating the date at the top of the agreement.
03
Clearly mention the names of both parties involved in the agreement, i.e., the employer and the employee.
04
Include the purpose of the agreement, which is to reduce the employee's salary.
05
Specify the effective date of the salary reduction.
06
State the new reduced salary amount or percentage.
07
Outline any additional terms or conditions related to the salary reduction, such as the duration or any benefits that may be affected.
08
Both parties should sign and date the agreement to indicate their acceptance and understanding of the salary reduction terms.
09
Make sure to keep a copy of the agreement for both the employer and the employee's records.
Who needs agreement for salary reduction?
01
Individuals or employees who are experiencing financial difficulties or are seeking to support their organization during challenging times may need an agreement for salary reduction. This can occur during economic downturns, company restructuring, or unforeseen circumstances that impact the financial stability of the company. It is crucial to ensure that both parties, the employer and employee, are in agreement and follow legal procedures when implementing salary reductions.
Fill
form
: Try Risk Free
For pdfFiller’s FAQs
Below is a list of the most common customer questions. If you can’t find an answer to your question, please don’t hesitate to reach out to us.
Where do I find agreement for salary reduction?
It's simple using pdfFiller, an online document management tool. Use our huge online form collection (over 25M fillable forms) to quickly discover the agreement for salary reduction. Open it immediately and start altering it with sophisticated capabilities.
How do I fill out the agreement for salary reduction form on my smartphone?
You can quickly make and fill out legal forms with the help of the pdfFiller app on your phone. Complete and sign agreement for salary reduction and other documents on your mobile device using the application. If you want to learn more about how the PDF editor works, go to pdfFiller.com.
How do I complete agreement for salary reduction on an iOS device?
In order to fill out documents on your iOS device, install the pdfFiller app. Create an account or log in to an existing one if you have a subscription to the service. Once the registration process is complete, upload your agreement for salary reduction. You now can take advantage of pdfFiller's advanced functionalities: adding fillable fields and eSigning documents, and accessing them from any device, wherever you are.
What is agreement for salary reduction?
An agreement for salary reduction is a formal arrangement between an employer and an employee to decrease the employee's salary for a specified period while retaining their employment.
Who is required to file agreement for salary reduction?
Typically, employers are required to file an agreement for salary reduction if they wish to implement a temporary salary decrease for their employees due to financial constraints or restructuring.
How to fill out agreement for salary reduction?
To fill out an agreement for salary reduction, the employer must provide details such as the employee's name, the amount of the salary reduction, the duration of the agreement, and both parties' signatures.
What is the purpose of agreement for salary reduction?
The purpose of an agreement for salary reduction is to formalize the terms under which an employee's salary will be temporarily reduced, ensuring clarity and legality in the employer-employee relationship.
What information must be reported on agreement for salary reduction?
Information that must be reported includes the employee's name, the current salary, the new reduced salary, the effective date of the reduction, and the duration of the salary reduction.
Fill out your agreement for salary reduction online with pdfFiller!
pdfFiller is an end-to-end solution for managing, creating, and editing documents and forms in the cloud. Save time and hassle by preparing your tax forms online.

Agreement For Salary Reduction is not the form you're looking for?Search for another form here.
Relevant keywords
Related Forms
If you believe that this page should be taken down, please follow our DMCA take down process
here
.
This form may include fields for payment information. Data entered in these fields is not covered by PCI DSS compliance.