
Get the free Tulsa, Oklahoma 74147-1435
Show details
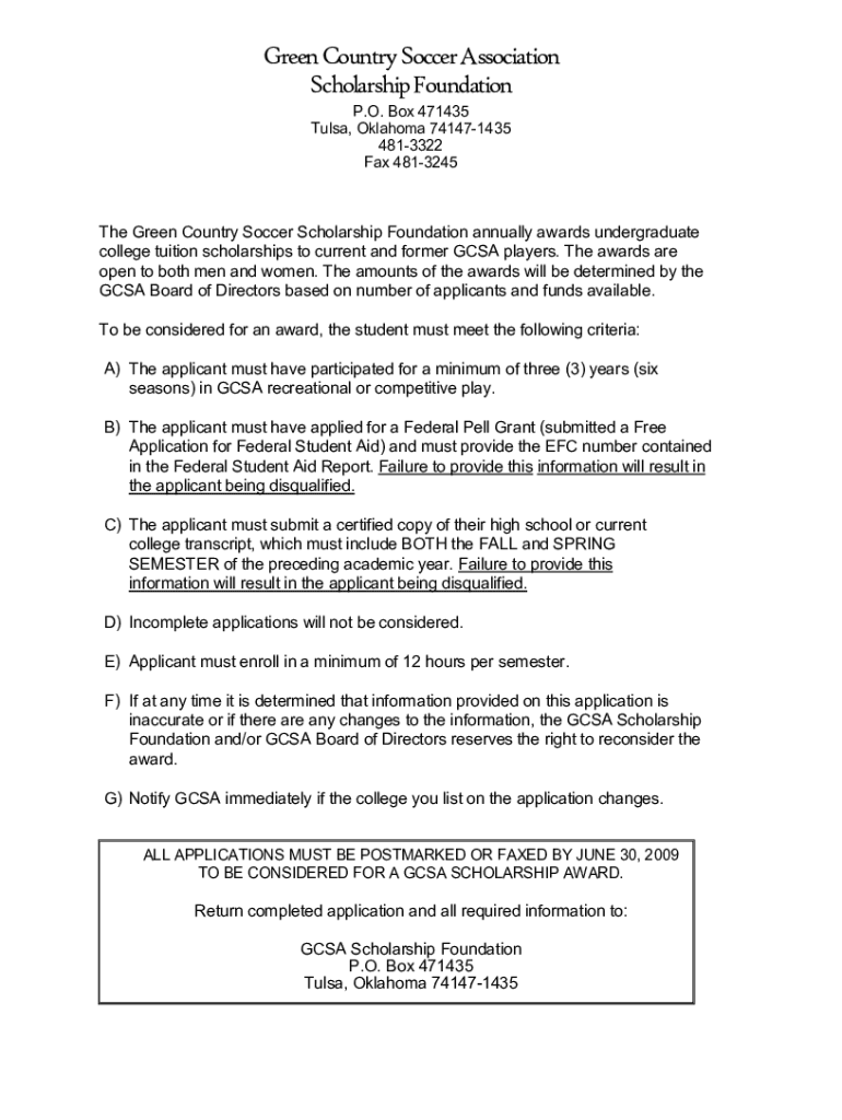
Green Country Soccer Association
Scholarship Foundation
P.O. Box 471435
Tulsa, Oklahoma 741471435
4813322
Fax 4813245The Green Country Soccer Scholarship Foundation annually awards undergraduate
college
We are not affiliated with any brand or entity on this form
Get, Create, Make and Sign tulsa oklahoma 74147-1435

Edit your tulsa oklahoma 74147-1435 form online
Type text, complete fillable fields, insert images, highlight or blackout data for discretion, add comments, and more.

Add your legally-binding signature
Draw or type your signature, upload a signature image, or capture it with your digital camera.

Share your form instantly
Email, fax, or share your tulsa oklahoma 74147-1435 form via URL. You can also download, print, or export forms to your preferred cloud storage service.
Editing tulsa oklahoma 74147-1435 online
To use the professional PDF editor, follow these steps:
1
Set up an account. If you are a new user, click Start Free Trial and establish a profile.
2
Upload a document. Select Add New on your Dashboard and transfer a file into the system in one of the following ways: by uploading it from your device or importing from the cloud, web, or internal mail. Then, click Start editing.
3
Edit tulsa oklahoma 74147-1435. Add and change text, add new objects, move pages, add watermarks and page numbers, and more. Then click Done when you're done editing and go to the Documents tab to merge or split the file. If you want to lock or unlock the file, click the lock or unlock button.
4
Save your file. Select it from your list of records. Then, move your cursor to the right toolbar and choose one of the exporting options. You can save it in multiple formats, download it as a PDF, send it by email, or store it in the cloud, among other things.
pdfFiller makes working with documents easier than you could ever imagine. Register for an account and see for yourself!
Uncompromising security for your PDF editing and eSignature needs
Your private information is safe with pdfFiller. We employ end-to-end encryption, secure cloud storage, and advanced access control to protect your documents and maintain regulatory compliance.
How to fill out tulsa oklahoma 74147-1435

How to fill out tulsa oklahoma 74147-1435
01
Begin by writing your name in the 'Name' field. Make sure to include your first and last name.
02
Next, fill out your complete address, including your street address, city, state, and zip code. In this case, the zip code is 74147-1435, so make sure to write it accurately.
03
Provide your contact information, such as your phone number and email address, under the respective fields.
04
If required, provide any additional information or instructions in the designated section.
05
Review all the filled-in information to ensure its accuracy and legibility.
06
Sign and date the form at the bottom, indicating the current date in the specified format.
07
Once you have completed all the necessary fields, you can submit the form by either mailing it or submitting it online, depending on the instructions provided.
Who needs tulsa oklahoma 74147-1435?
01
Tulsa, Oklahoma 74147-1435 is needed by individuals or organizations who either reside in that specific zip code area or need to send mail or packages to someone located in that area. Shipping companies, postal services, and individuals sending correspondence or packages are among those who may require this specific zip code.
Fill
form
: Try Risk Free
For pdfFiller’s FAQs
Below is a list of the most common customer questions. If you can’t find an answer to your question, please don’t hesitate to reach out to us.
Can I sign the tulsa oklahoma 74147-1435 electronically in Chrome?
As a PDF editor and form builder, pdfFiller has a lot of features. It also has a powerful e-signature tool that you can add to your Chrome browser. With our extension, you can type, draw, or take a picture of your signature with your webcam to make your legally-binding eSignature. Choose how you want to sign your tulsa oklahoma 74147-1435 and you'll be done in minutes.
How can I edit tulsa oklahoma 74147-1435 on a smartphone?
You can easily do so with pdfFiller's apps for iOS and Android devices, which can be found at the Apple Store and the Google Play Store, respectively. You can use them to fill out PDFs. We have a website where you can get the app, but you can also get it there. When you install the app, log in, and start editing tulsa oklahoma 74147-1435, you can start right away.
Can I edit tulsa oklahoma 74147-1435 on an iOS device?
Yes, you can. With the pdfFiller mobile app, you can instantly edit, share, and sign tulsa oklahoma 74147-1435 on your iOS device. Get it at the Apple Store and install it in seconds. The application is free, but you will have to create an account to purchase a subscription or activate a free trial.
What is tulsa oklahoma 74147-1435?
Tulsa, Oklahoma 74147-1435 is a ZIP code that identifies a specific geographic area within Tulsa. It is often associated with various services and administrative purposes.
Who is required to file tulsa oklahoma 74147-1435?
Individuals or businesses that have income subject to taxation in Tulsa may be required to file the relevant forms associated with the ZIP code 74147-1435.
How to fill out tulsa oklahoma 74147-1435?
To fill out forms related to tulsa oklahoma 74147-1435, you would need to gather your financial information, complete the required fields accurately, and ensure you follow the specific instructions provided for the form or documents.
What is the purpose of tulsa oklahoma 74147-1435?
The purpose of tulsa oklahoma 74147-1435 typically involves local tax filings or administrative requirements associated with businesses and residents in that area.
What information must be reported on tulsa oklahoma 74147-1435?
Information that must be reported generally includes income details, expenses, and other relevant financial data as dictated by the specific filing requirements.
Fill out your tulsa oklahoma 74147-1435 online with pdfFiller!
pdfFiller is an end-to-end solution for managing, creating, and editing documents and forms in the cloud. Save time and hassle by preparing your tax forms online.

Tulsa Oklahoma 74147-1435 is not the form you're looking for?Search for another form here.
Relevant keywords
Related Forms
If you believe that this page should be taken down, please follow our DMCA take down process
here
.
This form may include fields for payment information. Data entered in these fields is not covered by PCI DSS compliance.