Get the free UCAA Corporate Amendments Application Form 8. Uniform Certificate of Authority Appli...
Show details
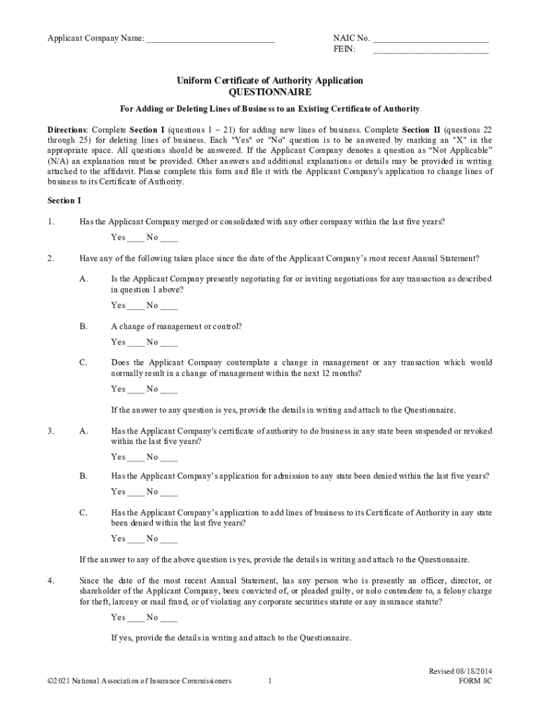
Applicant Company Name: NAIL No. VEIN: Uniform Certificate of Authority Application QUESTIONNAIRE For Adding or Deleting Lines of Business to an Existing Certificate of Authority Directions: Complete
We are not affiliated with any brand or entity on this form
Get, Create, Make and Sign ucaa corporate amendments application
Edit your ucaa corporate amendments application form online
Type text, complete fillable fields, insert images, highlight or blackout data for discretion, add comments, and more.
Add your legally-binding signature
Draw or type your signature, upload a signature image, or capture it with your digital camera.
Share your form instantly
Email, fax, or share your ucaa corporate amendments application form via URL. You can also download, print, or export forms to your preferred cloud storage service.
Editing ucaa corporate amendments application online
To use our professional PDF editor, follow these steps:
1
Check your account. If you don't have a profile yet, click Start Free Trial and sign up for one.
2
Simply add a document. Select Add New from your Dashboard and import a file into the system by uploading it from your device or importing it via the cloud, online, or internal mail. Then click Begin editing.
3
Edit ucaa corporate amendments application. Add and replace text, insert new objects, rearrange pages, add watermarks and page numbers, and more. Click Done when you are finished editing and go to the Documents tab to merge, split, lock or unlock the file.
4
Get your file. When you find your file in the docs list, click on its name and choose how you want to save it. To get the PDF, you can save it, send an email with it, or move it to the cloud.
It's easier to work with documents with pdfFiller than you could have believed. Sign up for a free account to view.
Uncompromising security for your PDF editing and eSignature needs
Your private information is safe with pdfFiller. We employ end-to-end encryption, secure cloud storage, and advanced access control to protect your documents and maintain regulatory compliance.
How to fill out ucaa corporate amendments application
How to fill out ucaa corporate amendments application
01
To fill out the UCAA corporate amendments application, follow these steps:
02
Obtain the UCAA corporate amendments application form.
03
Fill in the corporation's name and identification number.
04
Indicate the type of amendment being requested, such as changing the corporation's name or adding/removing directors.
05
Provide the necessary supporting documents, such as Articles of Amendment or Board of Directors resolutions.
06
Fill out the required information for each amendment, including any new names or details.
07
Pay the applicable filing fee, which may vary depending on the type of amendment.
08
Submit the completed application form and supporting documents to the appropriate UCAA office.
09
Wait for processing and confirmation of the amendment request.
10
Note: It is recommended to consult with a legal professional or review the UCAA guidelines for specific requirements and instructions.
Who needs ucaa corporate amendments application?
01
The UCAA corporate amendments application is typically needed by corporations registered with the UCAA (Uniform Commercial Code Administration) that wish to make changes to their registered information or structure. This may include corporations that want to change their name, add or remove directors, amend their articles of incorporation, or make other modifications to their legal status. The application is necessary to ensure that the changes are properly recorded and updated in the UCAA's official records.
Fill
form
: Try Risk Free
For pdfFiller’s FAQs
Below is a list of the most common customer questions. If you can’t find an answer to your question, please don’t hesitate to reach out to us.
How can I manage my ucaa corporate amendments application directly from Gmail?
In your inbox, you may use pdfFiller's add-on for Gmail to generate, modify, fill out, and eSign your ucaa corporate amendments application and any other papers you receive, all without leaving the program. Install pdfFiller for Gmail from the Google Workspace Marketplace by visiting this link. Take away the need for time-consuming procedures and handle your papers and eSignatures with ease.
How do I make changes in ucaa corporate amendments application?
pdfFiller not only lets you change the content of your files, but you can also change the number and order of pages. Upload your ucaa corporate amendments application to the editor and make any changes in a few clicks. The editor lets you black out, type, and erase text in PDFs. You can also add images, sticky notes, and text boxes, as well as many other things.
Can I sign the ucaa corporate amendments application electronically in Chrome?
Yes. By adding the solution to your Chrome browser, you may use pdfFiller to eSign documents while also enjoying all of the PDF editor's capabilities in one spot. Create a legally enforceable eSignature by sketching, typing, or uploading a photo of your handwritten signature using the extension. Whatever option you select, you'll be able to eSign your ucaa corporate amendments application in seconds.
What is ucaa corporate amendments application?
The UCAA corporate amendments application is a document used to notify regulatory authorities of changes to a corporation's structure, operations, or governing documents.
Who is required to file ucaa corporate amendments application?
Any corporation that has made changes to its articles of incorporation, bylaws, or other fundamental aspects of its business is required to file a UCAA corporate amendments application.
How to fill out ucaa corporate amendments application?
To fill out the UCAA corporate amendments application, one must provide the corporation's identifying information, describe the amendments being made, and submit any required supporting documentation.
What is the purpose of ucaa corporate amendments application?
The purpose of the UCAA corporate amendments application is to ensure that all changes to a corporation's status or structure are officially documented and reported to the appropriate regulatory authorities.
What information must be reported on ucaa corporate amendments application?
The information that must be reported includes the corporation's name, the nature of the amendments, the effective date of changes, and any other relevant details specified by the regulatory body.
Fill out your ucaa corporate amendments application online with pdfFiller!
pdfFiller is an end-to-end solution for managing, creating, and editing documents and forms in the cloud. Save time and hassle by preparing your tax forms online.
Ucaa Corporate Amendments Application is not the form you're looking for?Search for another form here.
Relevant keywords
Related Forms
If you believe that this page should be taken down, please follow our DMCA take down process
here
.
This form may include fields for payment information. Data entered in these fields is not covered by PCI DSS compliance.