
Get the free Appendix F: Required Information for Financial Ability ...
Show details
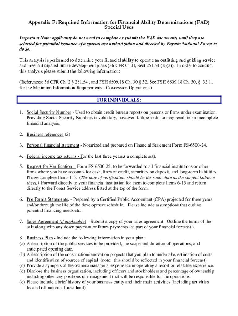
Appendix F: Required Information for Financial Ability Determinations (FAD)
Special Uses
Important Note: applicants do not need to complete or submit the FAD documents until they are
selected for
We are not affiliated with any brand or entity on this form
Get, Create, Make and Sign appendix f required information

Edit your appendix f required information form online
Type text, complete fillable fields, insert images, highlight or blackout data for discretion, add comments, and more.

Add your legally-binding signature
Draw or type your signature, upload a signature image, or capture it with your digital camera.

Share your form instantly
Email, fax, or share your appendix f required information form via URL. You can also download, print, or export forms to your preferred cloud storage service.
How to edit appendix f required information online
To use our professional PDF editor, follow these steps:
1
Log in. Click Start Free Trial and create a profile if necessary.
2
Simply add a document. Select Add New from your Dashboard and import a file into the system by uploading it from your device or importing it via the cloud, online, or internal mail. Then click Begin editing.
3
Edit appendix f required information. Rearrange and rotate pages, add and edit text, and use additional tools. To save changes and return to your Dashboard, click Done. The Documents tab allows you to merge, divide, lock, or unlock files.
4
Save your file. Select it from your records list. Then, click the right toolbar and select one of the various exporting options: save in numerous formats, download as PDF, email, or cloud.
It's easier to work with documents with pdfFiller than you can have believed. You may try it out for yourself by signing up for an account.
Uncompromising security for your PDF editing and eSignature needs
Your private information is safe with pdfFiller. We employ end-to-end encryption, secure cloud storage, and advanced access control to protect your documents and maintain regulatory compliance.
How to fill out appendix f required information

How to fill out appendix f required information
01
To fill out Appendix F required information, follow these steps:
02
Obtain a copy of Appendix F form.
03
Read the instructions on the form carefully to understand the required information.
04
Gather all the necessary documents and information needed to complete the form.
05
Fill out the personal information section, providing your full name, address, contact information, and any other requested details.
06
Provide the required information about your employment or business, including your employer or business name, address, and contact information.
07
Fill out any additional sections or questions on the form, as specified by the instructions.
08
Check for any errors or omissions, and make sure all the information is accurate and complete.
09
Sign and date the form as required.
10
Submit the completed Appendix F form according to the specified submission process or deadline.
Who needs appendix f required information?
01
Appendix F required information is needed by individuals or businesses who are required to provide additional details for a specific purpose.
02
Common scenarios where Appendix F may be required include:
03
- Applying for a government license or permit
04
- Seeking financial assistance or grants
05
- Participating in a procurement process
06
- Requesting certain legal or regulatory approvals
07
- Providing information for a specific research or survey
08
It is recommended to consult the relevant authorities or specific requirements to determine if Appendix F is needed in a particular situation.
Fill
form
: Try Risk Free
For pdfFiller’s FAQs
Below is a list of the most common customer questions. If you can’t find an answer to your question, please don’t hesitate to reach out to us.
How can I send appendix f required information for eSignature?
When you're ready to share your appendix f required information, you can send it to other people and get the eSigned document back just as quickly. Share your PDF by email, fax, text message, or USPS mail. You can also notarize your PDF on the web. You don't have to leave your account to do this.
How do I execute appendix f required information online?
pdfFiller has made it simple to fill out and eSign appendix f required information. The application has capabilities that allow you to modify and rearrange PDF content, add fillable fields, and eSign the document. Begin a free trial to discover all of the features of pdfFiller, the best document editing solution.
How do I fill out appendix f required information on an Android device?
Complete appendix f required information and other documents on your Android device with the pdfFiller app. The software allows you to modify information, eSign, annotate, and share files. You may view your papers from anywhere with an internet connection.
What is appendix f required information?
Appendix F required information includes detailed financial and operational data that entities must submit to comply with regulations, often relating to environmental, safety, and compliance measures.
Who is required to file appendix f required information?
Entities that operate under specific regulatory frameworks, such as manufacturers, importers, and other relevant organizations, are required to file Appendix F required information.
How to fill out appendix f required information?
To fill out Appendix F required information, gather relevant data as specified in the instructions, complete each section thoroughly, and ensure that all required documents are attached before submission.
What is the purpose of appendix f required information?
The purpose of Appendix F required information is to ensure transparency, compliance with regulatory standards, and proper reporting of operations and financials related to designated requirements.
What information must be reported on appendix f required information?
Information typically required includes operational data, financial figures, compliance metrics, and any additional disclosures mandated by regulation that pertain to the entity's activities.
Fill out your appendix f required information online with pdfFiller!
pdfFiller is an end-to-end solution for managing, creating, and editing documents and forms in the cloud. Save time and hassle by preparing your tax forms online.

Appendix F Required Information is not the form you're looking for?Search for another form here.
Relevant keywords
Related Forms
If you believe that this page should be taken down, please follow our DMCA take down process
here
.
This form may include fields for payment information. Data entered in these fields is not covered by PCI DSS compliance.