
Get the free The undersigned, on behalf of the corporation set forth below, pursuant to Title 13
Show details
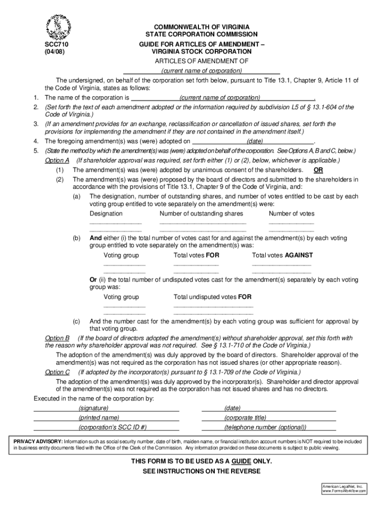
COMMONWEALTH OF VIRGINIA STATE CORPORATION COMMISSION SCC710 (04/08)GUIDE FOR ARTICLES OF AMENDMENT VIRGINIA STOCK CORPORATION ARTICLES OF AMENDMENT OF(current name of corporation) The undersigned,
We are not affiliated with any brand or entity on this form
Get, Create, Make and Sign form undersigned on behalf

Edit your form undersigned on behalf form online
Type text, complete fillable fields, insert images, highlight or blackout data for discretion, add comments, and more.

Add your legally-binding signature
Draw or type your signature, upload a signature image, or capture it with your digital camera.

Share your form instantly
Email, fax, or share your form undersigned on behalf form via URL. You can also download, print, or export forms to your preferred cloud storage service.
How to edit form undersigned on behalf online
In order to make advantage of the professional PDF editor, follow these steps below:
1
Log in. Click Start Free Trial and create a profile if necessary.
2
Simply add a document. Select Add New from your Dashboard and import a file into the system by uploading it from your device or importing it via the cloud, online, or internal mail. Then click Begin editing.
3
Edit form undersigned on behalf. Rearrange and rotate pages, add and edit text, and use additional tools. To save changes and return to your Dashboard, click Done. The Documents tab allows you to merge, divide, lock, or unlock files.
4
Get your file. Select your file from the documents list and pick your export method. You may save it as a PDF, email it, or upload it to the cloud.
pdfFiller makes working with documents easier than you could ever imagine. Register for an account and see for yourself!
Uncompromising security for your PDF editing and eSignature needs
Your private information is safe with pdfFiller. We employ end-to-end encryption, secure cloud storage, and advanced access control to protect your documents and maintain regulatory compliance.
How to fill out form undersigned on behalf

How to fill out form undersigned on behalf
01
To fill out a form undersigned on behalf, follow these steps:
02
Start by reading the form instructions carefully to understand the requirements.
03
Gather all the necessary information and documents that are required to complete the form.
04
Write the name of the person on whose behalf you are filling out the form in the designated section.
05
Provide your own contact information, including your name, address, and phone number.
06
Carefully review the form to ensure all information is accurate and complete.
07
If any additional documents or signatures are required, make sure to attach or include them with the form.
08
Double-check all the information provided before submitting the form.
09
Submit the form as instructed, either by mail, in person, or through an online portal.
10
Keep a copy of the filled-out form for your records.
11
If you have any questions or need assistance, contact the relevant authority or organization that issued the form.
Who needs form undersigned on behalf?
01
The form undersigned on behalf may be needed in various situations such as:
02
- Legal proceedings where an attorney or legal representative is authorized to act on someone's behalf.
03
- Business transactions where an authorized signatory represents a company or organization.
04
- Governmental or administrative procedures where a designated person can act on behalf of another individual.
05
- Financial matters where a power of attorney is granted to manage someone's assets.
06
It is important to check the specific requirements and consult legal or professional advice to determine if a form undersigned on behalf is necessary in a particular situation.
Fill
form
: Try Risk Free
For pdfFiller’s FAQs
Below is a list of the most common customer questions. If you can’t find an answer to your question, please don’t hesitate to reach out to us.
How do I edit form undersigned on behalf straight from my smartphone?
You may do so effortlessly with pdfFiller's iOS and Android apps, which are available in the Apple Store and Google Play Store, respectively. You may also obtain the program from our website: https://edit-pdf-ios-android.pdffiller.com/. Open the application, sign in, and begin editing form undersigned on behalf right away.
Can I edit form undersigned on behalf on an Android device?
With the pdfFiller mobile app for Android, you may make modifications to PDF files such as form undersigned on behalf. Documents may be edited, signed, and sent directly from your mobile device. Install the app and you'll be able to manage your documents from anywhere.
How do I complete form undersigned on behalf on an Android device?
Complete your form undersigned on behalf and other papers on your Android device by using the pdfFiller mobile app. The program includes all of the necessary document management tools, such as editing content, eSigning, annotating, sharing files, and so on. You will be able to view your papers at any time as long as you have an internet connection.
What is form undersigned on behalf?
Form undersigned on behalf is a document that allows one person to sign and submit required information on behalf of another individual or entity.
Who is required to file form undersigned on behalf?
Individuals or representatives who are authorized to act on behalf of another person or entity, such as legal guardians, power of attorney holders, or corporate officers, are required to file this form.
How to fill out form undersigned on behalf?
To fill out the form, you must provide the necessary identification details of both the individual filing and the person on whose behalf the form is being submitted, along with relevant information and signatures.
What is the purpose of form undersigned on behalf?
The purpose of the form is to formally document that one individual is authorized to act and make submissions on behalf of another, ensuring accountability and legal compliance.
What information must be reported on form undersigned on behalf?
The form typically requires personal details such as the names, addresses, identification numbers, and the nature of the authorization given to the person filing on behalf.
Fill out your form undersigned on behalf online with pdfFiller!
pdfFiller is an end-to-end solution for managing, creating, and editing documents and forms in the cloud. Save time and hassle by preparing your tax forms online.

Form Undersigned On Behalf is not the form you're looking for?Search for another form here.
Relevant keywords
Related Forms
If you believe that this page should be taken down, please follow our DMCA take down process
here
.
This form may include fields for payment information. Data entered in these fields is not covered by PCI DSS compliance.