Form preview

Get the free I am sending you this letter so that you can make an informed decision about letting...

Get Form
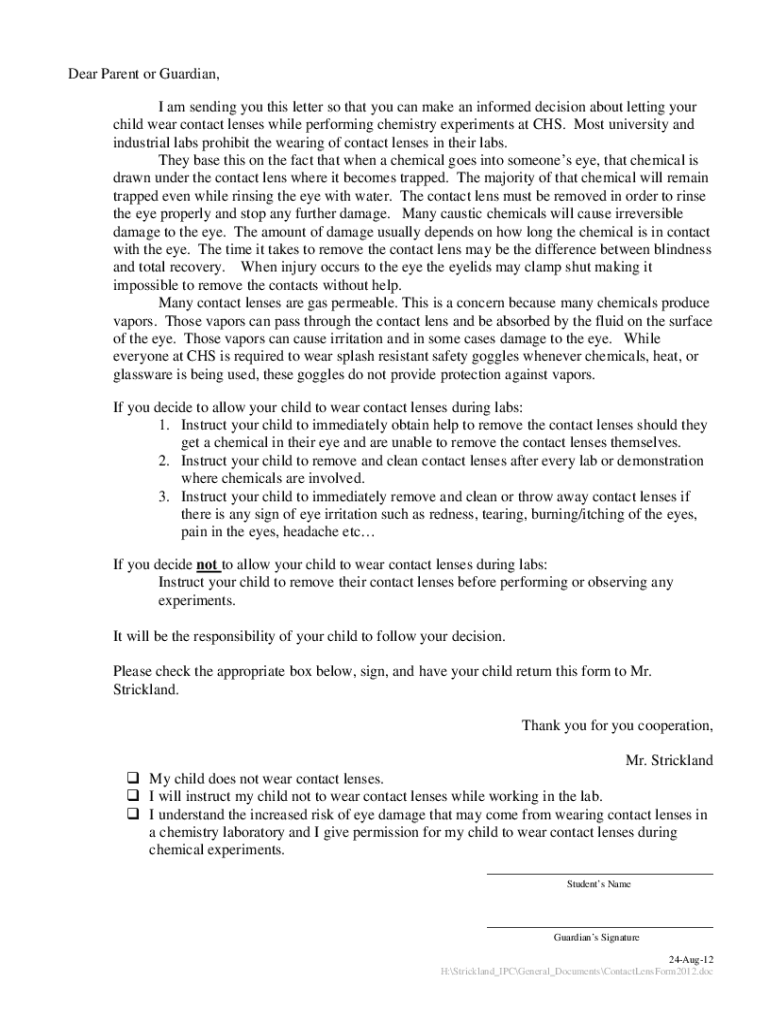
Dear Parent or Guardian, I am sending you this letter so that you can make an informed decision about letting your child wear contact lenses while performing chemistry experiments at CHS. Most university
We are not affiliated with any brand or entity on this form

Get, Create, Make and Sign i am sending you

Edit
Edit your i am sending you form online
Type text, complete fillable fields, insert images, highlight or blackout data for discretion, add comments, and more.
Add
Add your legally-binding signature
Draw or type your signature, upload a signature image, or capture it with your digital camera.
Share
Share your form instantly
Email, fax, or share your i am sending you form via URL. You can also download, print, or export forms to your preferred cloud storage service.

How to edit i am sending you online

9.5
Ease of Setup
pdfFiller User Ratings on G2
9.0
Ease of Use
pdfFiller User Ratings on G2
Follow the steps below to benefit from a competent PDF editor:
1
Log in. Click Start Free Trial and create a profile if necessary.
2
Simply add a document. Select Add New from your Dashboard and import a file into the system by uploading it from your device or importing it via the cloud, online, or internal mail. Then click Begin editing.
3
Edit i am sending you. Rearrange and rotate pages, add new and changed texts, add new objects, and use other useful tools. When you're done, click Done. You can use the Documents tab to merge, split, lock, or unlock your files.
4
Get your file. Select the name of your file in the docs list and choose your preferred exporting method. You can download it as a PDF, save it in another format, send it by email, or transfer it to the cloud.
Dealing with documents is simple using pdfFiller.

Uncompromising security for your PDF editing and eSignature needs

Your private information is safe with pdfFiller. We employ end-to-end encryption, secure cloud storage, and advanced access control to protect your documents and maintain regulatory compliance.
GDPR
AICPA SOC 2
PCI
HIPAA
CCPA
FDA

How to fill out i am sending you

Illustration

How to fill out i am sending you

01
To fill out i am sending you, follow these steps:
02
Open the document I sent.
03
Read the instructions or any guiding notes provided.
04
Start from the beginning and enter your information in the fields or sections as required.
05
Make sure you provide accurate and complete information.
06
If there are any checkboxes or multiple-choice options, select the appropriate ones.
07
Double-check your entries for any errors or omissions.
08
If additional documentation or attachments are mentioned, make sure to include them.
09
Once you have filled out all the necessary parts, review the document again for accuracy.
10
Save the filled-out document with a new name to avoid overwriting the original.
11
Finally, send the completed i am sending you back to the sender through the specified method (email, post, etc.).

Who needs i am sending you?

01
The person or entity who needs i am sending you depends on the context and content of the document.
02
It could be anyone such as an employer, a client, a government agency, a school, or an organization.
03
The recipient is typically someone who requires the information or data provided in the document for various purposes such as processing an application, reviewing a proposal, verifying details, or maintaining records.
04
It is important to send the document to the intended recipient mentioned by the sender or as per the instructions provided.
Fill form : Try Risk Free
Users Most Likely To Recommend - Summer 2025
Grid Leader in Small-Business - Summer 2025
High Performer - Summer 2025
Regional Leader - Summer 2025
Easiest To Do Business With - Summer 2025
Best Meets Requirements- Summer 2025
Rate the form
4.2
Satisfied
58 Votes

For pdfFiller’s FAQs

Below is a list of the most common customer questions. If you can’t find an answer to your question, please don’t hesitate to reach out to us.

By integrating pdfFiller with Google Docs, you can streamline your document workflows and produce fillable forms that can be stored directly in Google Drive. Using the connection, you will be able to create, change, and eSign documents, including i am sending you, all without having to leave Google Drive. Add pdfFiller's features to Google Drive and you'll be able to handle your documents more effectively from any device with an internet connection.
The editing procedure is simple with pdfFiller. Open your i am sending you in the editor, which is quite user-friendly. You may use it to blackout, redact, write, and erase text, add photos, draw arrows and lines, set sticky notes and text boxes, and much more.
Use the pdfFiller mobile app to fill out and sign i am sending you on your phone or tablet. Visit our website to learn more about our mobile apps, how they work, and how to get started.
'I am sending you' refers to a generic communication or notification that conveys information, typically in a written format.
Typically, anyone who needs to communicate specific information or fulfill a documentation requirement may be required to 'file' or submit the information being sent.
To fill out 'I am sending you', ensure all necessary information is clearly written, following any specific guidelines provided for the format of the communication.
The purpose of 'I am sending you' is to inform, update, or request information from the recipient, fulfilling a communication need.
The information required to be reported typically includes the subject matter, details relevant to the communication, and any specific requests or actions expected from the recipient.
Fill out your i am sending you online with pdfFiller!

pdfFiller is an end-to-end solution for managing, creating, and editing documents and forms in the cloud. Save time and hassle by preparing your tax forms online.

Get started now
Form preview
If you believe that this page should be taken down, please follow our DMCA take down process here .
This form may include fields for payment information. Data entered in these fields is not covered by PCI DSS compliance.