Get the free Name Of Minor Child/Ward
Show details
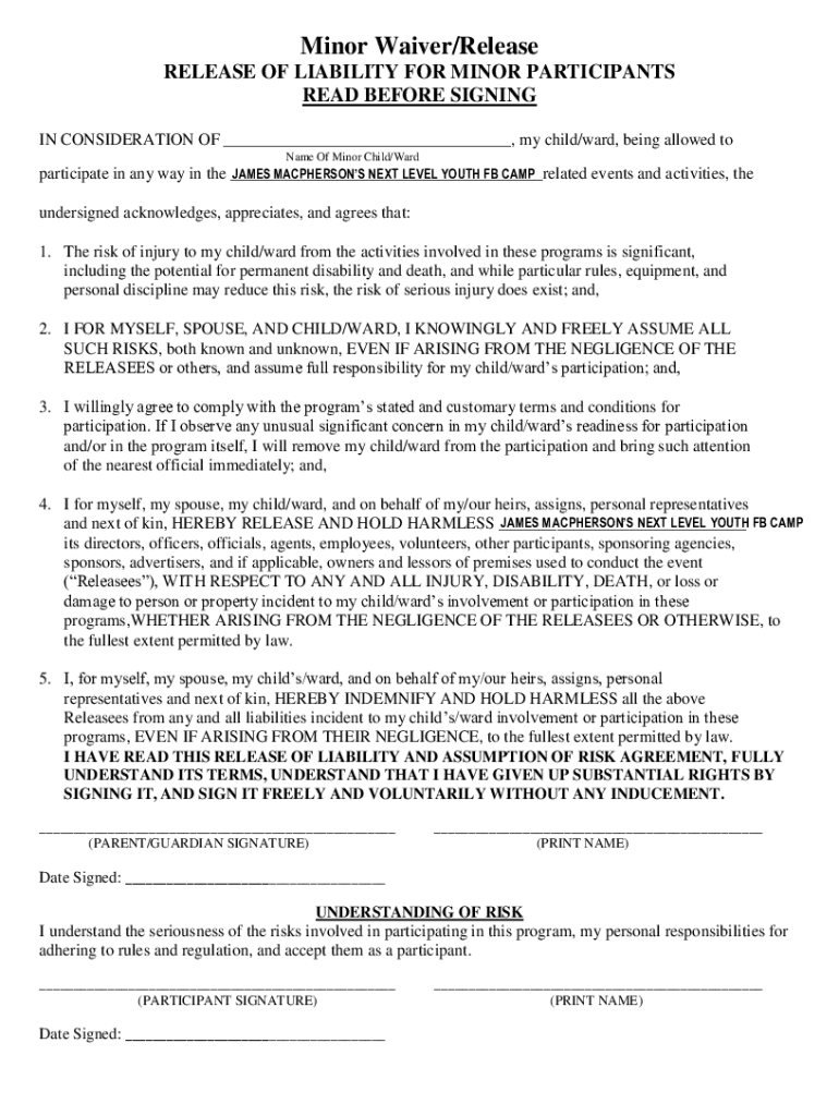
Minor Waiver/Release OF LIABILITY FOR MINOR PARTICIPANTS READ BEFORE SIGNING IN CONSIDERATION OF, my child/ward, being allowed to Name Of Minor Child/Warplanes MacPherson NEXT LEVEL YOUTH FB CAMP
We are not affiliated with any brand or entity on this form
Get, Create, Make and Sign name of minor childward
Edit your name of minor childward form online
Type text, complete fillable fields, insert images, highlight or blackout data for discretion, add comments, and more.
Add your legally-binding signature
Draw or type your signature, upload a signature image, or capture it with your digital camera.
Share your form instantly
Email, fax, or share your name of minor childward form via URL. You can also download, print, or export forms to your preferred cloud storage service.
Editing name of minor childward online
Follow the steps down below to take advantage of the professional PDF editor:
1
Register the account. Begin by clicking Start Free Trial and create a profile if you are a new user.
2
Upload a file. Select Add New on your Dashboard and upload a file from your device or import it from the cloud, online, or internal mail. Then click Edit.
3
Edit name of minor childward. Add and change text, add new objects, move pages, add watermarks and page numbers, and more. Then click Done when you're done editing and go to the Documents tab to merge or split the file. If you want to lock or unlock the file, click the lock or unlock button.
4
Get your file. Select your file from the documents list and pick your export method. You may save it as a PDF, email it, or upload it to the cloud.
With pdfFiller, it's always easy to work with documents. Check it out!
Uncompromising security for your PDF editing and eSignature needs
Your private information is safe with pdfFiller. We employ end-to-end encryption, secure cloud storage, and advanced access control to protect your documents and maintain regulatory compliance.
How to fill out name of minor childward
How to fill out name of minor childward
01
To fill out the name of a minor childward, follow these steps:
02
Start by writing the first name of the child in the designated field.
03
Beneath the first name, enter the middle name (if any) of the child, if applicable.
04
Finally, write the last name or surname of the child in the provided space.
05
Make sure to double-check the accuracy of the entered name before submitting the form.
Who needs name of minor childward?
01
The name of a minor childward is required by various entities such as:
02
- Schools or educational institutions when enrolling the child
03
- Medical and healthcare providers for record-keeping purposes
04
- Government agencies for identification and official documents
05
- Legal and financial institutions when dealing with guardianship or inheritance matters
06
- Travel and immigration authorities for passport and visa applications
07
- Insurance companies for coverage and beneficiary details
08
- Social service organizations involved in child welfare or support
Fill
form
: Try Risk Free
For pdfFiller’s FAQs
Below is a list of the most common customer questions. If you can’t find an answer to your question, please don’t hesitate to reach out to us.
How can I get name of minor childward?
With pdfFiller, an all-in-one online tool for professional document management, it's easy to fill out documents. Over 25 million fillable forms are available on our website, and you can find the name of minor childward in a matter of seconds. Open it right away and start making it your own with help from advanced editing tools.
How can I edit name of minor childward on a smartphone?
Using pdfFiller's mobile-native applications for iOS and Android is the simplest method to edit documents on a mobile device. You may get them from the Apple App Store and Google Play, respectively. More information on the apps may be found here. Install the program and log in to begin editing name of minor childward.
How can I fill out name of minor childward on an iOS device?
Make sure you get and install the pdfFiller iOS app. Next, open the app and log in or set up an account to use all of the solution's editing tools. If you want to open your name of minor childward, you can upload it from your device or cloud storage, or you can type the document's URL into the box on the right. After you fill in all of the required fields in the document and eSign it, if that is required, you can save or share it with other people.
What is name of minor childward?
The name of a minor childward refers to the legal name of a child who is under the guardianship of an adult or the state.
Who is required to file name of minor childward?
The guardian or legal custodian of the minor child is required to file the name of the minor childward.
How to fill out name of minor childward?
To fill out the name of the minor childward, provide the child's full legal name, date of birth, and any relevant identification numbers in the designated forms as required by local authorities.
What is the purpose of name of minor childward?
The purpose of filing the name of the minor childward is to ensure legal recognition of guardianship and to maintain proper records for the welfare and rights of the child.
What information must be reported on name of minor childward?
The information that must be reported includes the minor's full name, date of birth, guardian's name, relationship to the minor, and any court orders pertaining to guardianship.
Fill out your name of minor childward online with pdfFiller!
pdfFiller is an end-to-end solution for managing, creating, and editing documents and forms in the cloud. Save time and hassle by preparing your tax forms online.
Name Of Minor Childward is not the form you're looking for?Search for another form here.
Relevant keywords
Related Forms
If you believe that this page should be taken down, please follow our DMCA take down process
here
.
This form may include fields for payment information. Data entered in these fields is not covered by PCI DSS compliance.