
Get the free Athletics / Homepage - Wildwood High School - images pcmac
Show details
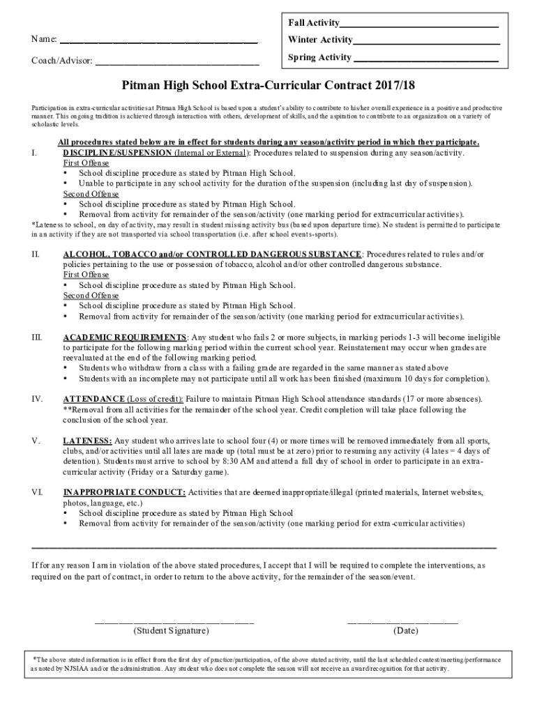
Fall Activity Name: Winter Activity Coach/Advisor: Spring Activity Pitman High School ExtraCurricular Contract 2017/18 Participation in extracurricular activities at Pitman High School is based upon
We are not affiliated with any brand or entity on this form
Get, Create, Make and Sign athletics homepage - wildwood

Edit your athletics homepage - wildwood form online
Type text, complete fillable fields, insert images, highlight or blackout data for discretion, add comments, and more.

Add your legally-binding signature
Draw or type your signature, upload a signature image, or capture it with your digital camera.

Share your form instantly
Email, fax, or share your athletics homepage - wildwood form via URL. You can also download, print, or export forms to your preferred cloud storage service.
Editing athletics homepage - wildwood online
Follow the steps below to take advantage of the professional PDF editor:
1
Create an account. Begin by choosing Start Free Trial and, if you are a new user, establish a profile.
2
Prepare a file. Use the Add New button. Then upload your file to the system from your device, importing it from internal mail, the cloud, or by adding its URL.
3
Edit athletics homepage - wildwood. Rearrange and rotate pages, insert new and alter existing texts, add new objects, and take advantage of other helpful tools. Click Done to apply changes and return to your Dashboard. Go to the Documents tab to access merging, splitting, locking, or unlocking functions.
4
Get your file. Select your file from the documents list and pick your export method. You may save it as a PDF, email it, or upload it to the cloud.
It's easier to work with documents with pdfFiller than you can have believed. You can sign up for an account to see for yourself.
Uncompromising security for your PDF editing and eSignature needs
Your private information is safe with pdfFiller. We employ end-to-end encryption, secure cloud storage, and advanced access control to protect your documents and maintain regulatory compliance.
How to fill out athletics homepage - wildwood

How to fill out athletics homepage - wildwood
01
To fill out the athletics homepage in Wildwood, follow these steps:
1. Login to the Wildwood website using your admin credentials.
02
Navigate to the administrator dashboard.
03
Find the section for athletics and click on it.
04
On the athletics homepage, you will find various fields and sections to populate with relevant information.
05
Start by adding a catchy title or heading for the page.
06
Next, add a brief description or overview of the athletics program at Wildwood.
07
Include important dates such as upcoming matches, tournaments, or events.
08
Provide details about the various sports offered and any achievements or accolades.
09
Include information about coaches, trainers, and team members.
10
Add any relevant images, videos, or documents that enhance the page's content.
11
Ensure the page is visually appealing and organized.
12
Preview the page to check for any errors or missing information.
13
Once satisfied, save and publish the athletics homepage.
Who needs athletics homepage - wildwood?
01
The athletics homepage in Wildwood is needed by:
1. Students who want to get information about sports activities, schedules, or teams within the school.
02
Parents of students who are interested in participating in athletics or are currently involved in sports.
03
Coaches, trainers, and other staff members who need to provide updates, announcements, and resources related to the athletics program.
04
Visitors or prospective students who want to learn more about the sports opportunities available at Wildwood.
05
Alumni or former athletes who want to stay connected and updated with the athletics program and its achievements.
Fill
form
: Try Risk Free
For pdfFiller’s FAQs
Below is a list of the most common customer questions. If you can’t find an answer to your question, please don’t hesitate to reach out to us.
How can I send athletics homepage - wildwood for eSignature?
When you're ready to share your athletics homepage - wildwood, you can send it to other people and get the eSigned document back just as quickly. Share your PDF by email, fax, text message, or USPS mail. You can also notarize your PDF on the web. You don't have to leave your account to do this.
How can I edit athletics homepage - wildwood on a smartphone?
You can do so easily with pdfFiller’s applications for iOS and Android devices, which can be found at the Apple Store and Google Play Store, respectively. Alternatively, you can get the app on our web page: https://edit-pdf-ios-android.pdffiller.com/. Install the application, log in, and start editing athletics homepage - wildwood right away.
How do I edit athletics homepage - wildwood on an Android device?
You can edit, sign, and distribute athletics homepage - wildwood on your mobile device from anywhere using the pdfFiller mobile app for Android; all you need is an internet connection. Download the app and begin streamlining your document workflow from anywhere.
What is athletics homepage - wildwood?
The athletics homepage - Wildwood serves as the central online platform for information regarding athletic events, schedules, and resources for the Wildwood community.
Who is required to file athletics homepage - wildwood?
Athletes, coaches, and relevant school staff are required to file the athletics homepage - Wildwood to stay updated on necessary activities and requirements.
How to fill out athletics homepage - wildwood?
To fill out the athletics homepage - Wildwood, users should access the website, complete the required fields with accurate information, and submit the form electronically.
What is the purpose of athletics homepage - wildwood?
The purpose of the athletics homepage - Wildwood is to provide athletes and stakeholders with essential information on athletic programs, events, and communications.
What information must be reported on athletics homepage - wildwood?
Information such as athlete registrations, event schedules, results, and any other pertinent updates related to Wildwood athletics must be reported.
Fill out your athletics homepage - wildwood online with pdfFiller!
pdfFiller is an end-to-end solution for managing, creating, and editing documents and forms in the cloud. Save time and hassle by preparing your tax forms online.

Athletics Homepage - Wildwood is not the form you're looking for?Search for another form here.
Relevant keywords
Related Forms
If you believe that this page should be taken down, please follow our DMCA take down process
here
.
This form may include fields for payment information. Data entered in these fields is not covered by PCI DSS compliance.