Get the free Reach Engineering & Diving Services
Show details
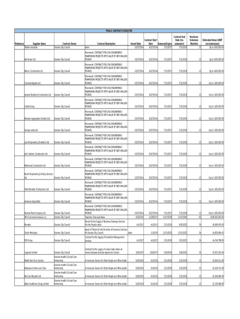
PUBLIC CONTRACTS REGISTERReference7/31/201812Up to 1000,000.007/31/20177/31/201812Up to 1000,000.0010/27/20147/31/20177/31/201812Up to 1,000,000.0010/27/201410/27/20147/31/20177/31/201812Up to 1,000,000.0010/27/201410/27/20147/31/20177/31/201812Up
We are not affiliated with any brand or entity on this form
Get, Create, Make and Sign reach engineering amp diving
Edit your reach engineering amp diving form online
Type text, complete fillable fields, insert images, highlight or blackout data for discretion, add comments, and more.
Add your legally-binding signature
Draw or type your signature, upload a signature image, or capture it with your digital camera.
Share your form instantly
Email, fax, or share your reach engineering amp diving form via URL. You can also download, print, or export forms to your preferred cloud storage service.
How to edit reach engineering amp diving online
To use our professional PDF editor, follow these steps:
1
Create an account. Begin by choosing Start Free Trial and, if you are a new user, establish a profile.
2
Simply add a document. Select Add New from your Dashboard and import a file into the system by uploading it from your device or importing it via the cloud, online, or internal mail. Then click Begin editing.
3
Edit reach engineering amp diving. Rearrange and rotate pages, add and edit text, and use additional tools. To save changes and return to your Dashboard, click Done. The Documents tab allows you to merge, divide, lock, or unlock files.
4
Get your file. Select your file from the documents list and pick your export method. You may save it as a PDF, email it, or upload it to the cloud.
With pdfFiller, it's always easy to work with documents. Try it!
Uncompromising security for your PDF editing and eSignature needs
Your private information is safe with pdfFiller. We employ end-to-end encryption, secure cloud storage, and advanced access control to protect your documents and maintain regulatory compliance.
How to fill out reach engineering amp diving
How to fill out reach engineering amp diving
01
Start by gathering all the necessary information about the engineering and diving project.
02
Review the requirements and guidelines provided for filling out the reach engineering and diving forms.
03
Begin by entering your personal details such as name, contact information, and identification number.
04
Fill out the project details section, providing accurate information about the nature of the engineering and diving work.
05
Include any relevant certifications or qualifications you or your team possess.
06
Provide a detailed timeline for the project, including start and end dates.
07
If required, attach supporting documents such as permits or licenses.
08
Double-check all the entered information to ensure accuracy and completeness.
09
Submit the reach engineering and diving forms according to the specified submission method, either online or through physical submission.
10
Wait for confirmation or further instructions from the relevant authority.
Who needs reach engineering amp diving?
01
Reach engineering and diving form is needed by individuals or companies involved in engineering and diving projects.
02
This includes engineers, diving professionals, contractors, and organizations specializing in underwater construction, maintenance, or exploration.
03
Anyone planning to conduct extensive engineering work underwater or exploring underwater structures would require reach engineering and diving forms.
Fill
form
: Try Risk Free
For pdfFiller’s FAQs
Below is a list of the most common customer questions. If you can’t find an answer to your question, please don’t hesitate to reach out to us.
Can I create an electronic signature for the reach engineering amp diving in Chrome?
Yes. You can use pdfFiller to sign documents and use all of the features of the PDF editor in one place if you add this solution to Chrome. In order to use the extension, you can draw or write an electronic signature. You can also upload a picture of your handwritten signature. There is no need to worry about how long it takes to sign your reach engineering amp diving.
Can I edit reach engineering amp diving on an iOS device?
You certainly can. You can quickly edit, distribute, and sign reach engineering amp diving on your iOS device with the pdfFiller mobile app. Purchase it from the Apple Store and install it in seconds. The program is free, but in order to purchase a subscription or activate a free trial, you must first establish an account.
Can I edit reach engineering amp diving on an Android device?
You can make any changes to PDF files, like reach engineering amp diving, with the help of the pdfFiller Android app. Edit, sign, and send documents right from your phone or tablet. You can use the app to make document management easier wherever you are.
What is reach engineering amp diving?
REACH (Registration, Evaluation, Authorisation and Restriction of Chemicals) engineering and diving involves practices related to the safe use and management of chemical substances in engineering and diving operations.
Who is required to file reach engineering amp diving?
Entities that manufacture or import chemical substances in quantities above a certain threshold are required to file REACH documentation, including those engaged in engineering and diving operations.
How to fill out reach engineering amp diving?
To fill out REACH documentation, you must gather information on the chemicals used, assess their risks, and submit the required registration forms to relevant authorities while ensuring that all data is accurate and comprehensive.
What is the purpose of reach engineering amp diving?
The purpose of REACH in engineering and diving is to ensure a high level of protection for human health and the environment from risks posed by chemical substances.
What information must be reported on reach engineering amp diving?
Information to be reported includes the identity of the substances, the volume manufactured or imported, the hazards associated with the substances, and how they are used.
Fill out your reach engineering amp diving online with pdfFiller!
pdfFiller is an end-to-end solution for managing, creating, and editing documents and forms in the cloud. Save time and hassle by preparing your tax forms online.
Reach Engineering Amp Diving is not the form you're looking for?Search for another form here.
Relevant keywords
Related Forms
If you believe that this page should be taken down, please follow our DMCA take down process
here
.
This form may include fields for payment information. Data entered in these fields is not covered by PCI DSS compliance.