
Get the free - If money was recouped TO the hospital, the claim information should solely be repo...
Show details
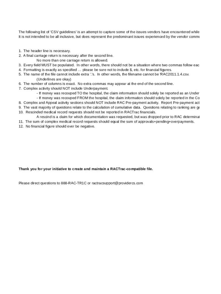
The following list of 'CSV guidelines is an attempt to capture some issues vendors have encountered while generating TH It is not intended to be all-inclusive, but does represent the predominant issues
We are not affiliated with any brand or entity on this form
Get, Create, Make and Sign if money was

Edit your if money was form online
Type text, complete fillable fields, insert images, highlight or blackout data for discretion, add comments, and more.

Add your legally-binding signature
Draw or type your signature, upload a signature image, or capture it with your digital camera.

Share your form instantly
Email, fax, or share your if money was form via URL. You can also download, print, or export forms to your preferred cloud storage service.
How to edit if money was online
Follow the guidelines below to take advantage of the professional PDF editor:
1
Log into your account. If you don't have a profile yet, click Start Free Trial and sign up for one.
2
Upload a file. Select Add New on your Dashboard and upload a file from your device or import it from the cloud, online, or internal mail. Then click Edit.
3
Edit if money was. Add and change text, add new objects, move pages, add watermarks and page numbers, and more. Then click Done when you're done editing and go to the Documents tab to merge or split the file. If you want to lock or unlock the file, click the lock or unlock button.
4
Get your file. Select the name of your file in the docs list and choose your preferred exporting method. You can download it as a PDF, save it in another format, send it by email, or transfer it to the cloud.
pdfFiller makes working with documents easier than you could ever imagine. Try it for yourself by creating an account!
Uncompromising security for your PDF editing and eSignature needs
Your private information is safe with pdfFiller. We employ end-to-end encryption, secure cloud storage, and advanced access control to protect your documents and maintain regulatory compliance.
How to fill out if money was

How to fill out if money was
01
Determine the amount of money that needs to be filled out in the form.
02
Gather all the necessary documents related to the money, such as receipts, invoices, or bank statements.
03
Fill out the section of the form that requires you to provide details about the money, including the source, purpose, and any relevant dates.
04
Double-check all the information you have provided to ensure it is accurate and complete.
05
Submit the filled-out form along with the supporting documents to the appropriate authority or organization.
06
Keep a copy of the filled-out form and the supporting documents for your records.
Who needs if money was?
01
Anyone who has received or is in possession of money that requires documentation or reporting may need to fill out the form 'if money was'.
02
This could include individuals who have received a large sum of money as a gift, inheritors of monetary assets, or businesses that need to report financial transactions.
03
Additionally, individuals involved in financial or legal matters, such as tax filings, estate planning, or legal disputes, may be required to fill out this form.
Fill
form
: Try Risk Free
For pdfFiller’s FAQs
Below is a list of the most common customer questions. If you can’t find an answer to your question, please don’t hesitate to reach out to us.
How do I make changes in if money was?
The editing procedure is simple with pdfFiller. Open your if money was in the editor, which is quite user-friendly. You may use it to blackout, redact, write, and erase text, add photos, draw arrows and lines, set sticky notes and text boxes, and much more.
Can I create an electronic signature for signing my if money was in Gmail?
It's easy to make your eSignature with pdfFiller, and then you can sign your if money was right from your Gmail inbox with the help of pdfFiller's add-on for Gmail. This is a very important point: You must sign up for an account so that you can save your signatures and signed documents.
Can I edit if money was on an Android device?
You can make any changes to PDF files, like if money was, with the help of the pdfFiller Android app. Edit, sign, and send documents right from your phone or tablet. You can use the app to make document management easier wherever you are.
What is if money was?
The term 'if money was' refers to a hypothetical scenario often used to discuss financial situations or concepts.
Who is required to file if money was?
Typically, individuals or entities that have a financial interest or responsibility related to the hypothetical situation are required to file.
How to fill out if money was?
Filling out 'if money was' usually involves providing relevant financial data and adhering to any specific guidelines set for the hypothetical scenario.
What is the purpose of if money was?
The purpose of 'if money was' is to evaluate potential financial outcomes or to assess the implications of financial decisions.
What information must be reported on if money was?
The information reported should include sources of income, expenditures, and any relevant financial context pertaining to the hypothetical scenario.
Fill out your if money was online with pdfFiller!
pdfFiller is an end-to-end solution for managing, creating, and editing documents and forms in the cloud. Save time and hassle by preparing your tax forms online.

If Money Was is not the form you're looking for?Search for another form here.
Relevant keywords
Related Forms
If you believe that this page should be taken down, please follow our DMCA take down process
here
.
This form may include fields for payment information. Data entered in these fields is not covered by PCI DSS compliance.