Get the free chapter 7 trustee handbook
Show details
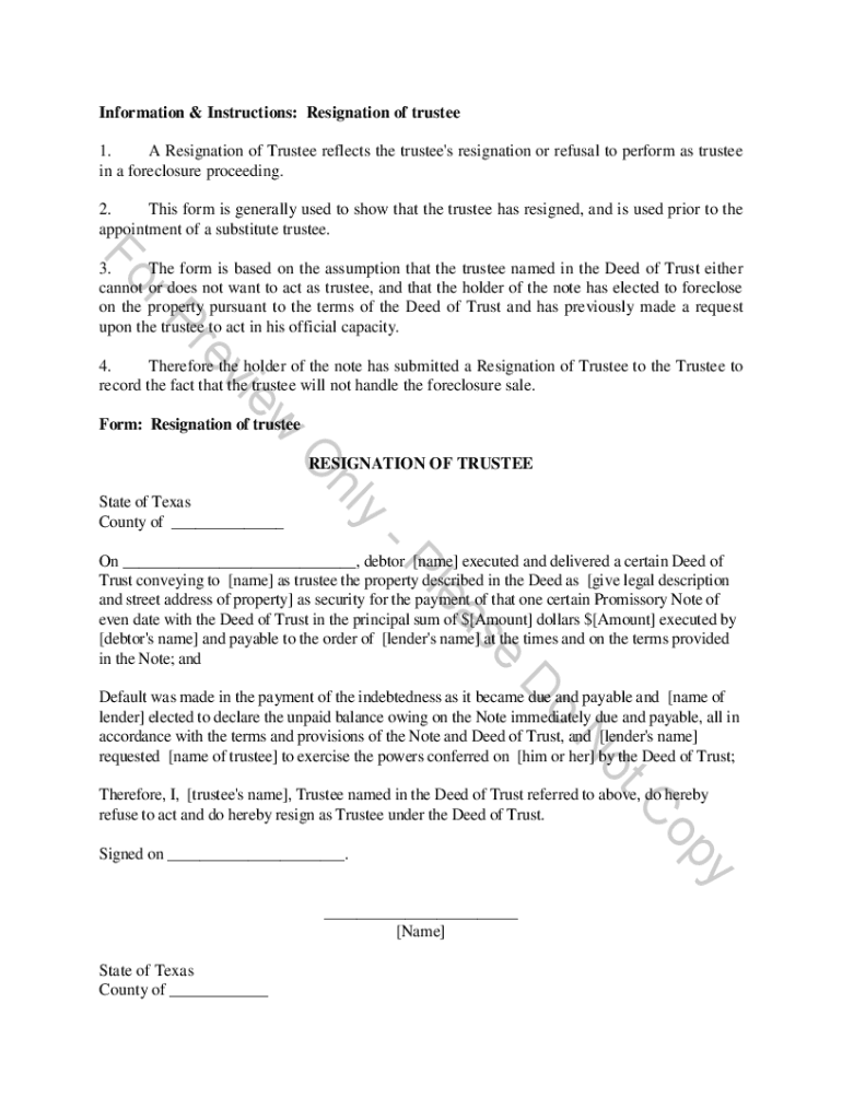
Information & Instructions: Resignation of trustee 1. A Resignation of Trustee reflects the trustee's resignation or refusal to perform as trustee in a foreclosure proceeding. 2. This form is generally
We are not affiliated with any brand or entity on this form
Get, Create, Make and Sign chapter 7 trustee handbook
Edit your chapter 7 trustee handbook form online
Type text, complete fillable fields, insert images, highlight or blackout data for discretion, add comments, and more.
Add your legally-binding signature
Draw or type your signature, upload a signature image, or capture it with your digital camera.
Share your form instantly
Email, fax, or share your chapter 7 trustee handbook form via URL. You can also download, print, or export forms to your preferred cloud storage service.
Editing chapter 7 trustee handbook online
Follow the guidelines below to benefit from the PDF editor's expertise:
1
Create an account. Begin by choosing Start Free Trial and, if you are a new user, establish a profile.
2
Upload a document. Select Add New on your Dashboard and transfer a file into the system in one of the following ways: by uploading it from your device or importing from the cloud, web, or internal mail. Then, click Start editing.
3
Edit chapter 7 trustee handbook. Text may be added and replaced, new objects can be included, pages can be rearranged, watermarks and page numbers can be added, and so on. When you're done editing, click Done and then go to the Documents tab to combine, divide, lock, or unlock the file.
4
Get your file. When you find your file in the docs list, click on its name and choose how you want to save it. To get the PDF, you can save it, send an email with it, or move it to the cloud.
With pdfFiller, it's always easy to work with documents.
Uncompromising security for your PDF editing and eSignature needs
Your private information is safe with pdfFiller. We employ end-to-end encryption, secure cloud storage, and advanced access control to protect your documents and maintain regulatory compliance.
How to fill out chapter 7 trustee handbook
How to fill out handbook for chapter 7
01
Start by reading the instructions provided at the beginning of the handbook for chapter 7.
02
Review the table of contents to get an overview of the topics covered in chapter 7.
03
Begin filling out the handbook by entering the necessary details in the designated sections.
04
Write the title and subtitle for chapter 7 at the top of the page.
05
Include relevant information such as definitions, explanations, and examples in the main body of the chapter.
06
Use bullet points or numbered lists to present information in a clear and organized manner.
07
Make sure to reference any external sources or references used in the handbook.
08
Proofread and revise the content to ensure accuracy and coherence.
09
Include any additional resources or appendices at the end of the chapter, if necessary.
10
Once all the sections in chapter 7 are filled out, review the entire handbook for any errors or omissions before finalizing it.
Who needs handbook for chapter 7?
01
Anyone who is studying or researching the subject matter covered in chapter 7 would benefit from having the handbook.
02
Professionals in the field can use the handbook as a reference guide or tool for quick access to relevant information.
03
Educators can incorporate the handbook into their teaching materials or use it to supplement their lessons.
04
Individuals preparing for exams or assessments on the topic can use the handbook for study purposes.
05
Organizations or companies may provide the handbook to their employees as a training or reference resource for chapter 7-related tasks.
Fill
form
: Try Risk Free
For pdfFiller’s FAQs
Below is a list of the most common customer questions. If you can’t find an answer to your question, please don’t hesitate to reach out to us.
How can I edit chapter 7 trustee handbook from Google Drive?
Using pdfFiller with Google Docs allows you to create, amend, and sign documents straight from your Google Drive. The add-on turns your chapter 7 trustee handbook into a dynamic fillable form that you can manage and eSign from anywhere.
How do I execute chapter 7 trustee handbook online?
pdfFiller has made it simple to fill out and eSign chapter 7 trustee handbook. The application has capabilities that allow you to modify and rearrange PDF content, add fillable fields, and eSign the document. Begin a free trial to discover all of the features of pdfFiller, the best document editing solution.
How do I make changes in chapter 7 trustee handbook?
With pdfFiller, you may not only alter the content but also rearrange the pages. Upload your chapter 7 trustee handbook and modify it with a few clicks. The editor lets you add photos, sticky notes, text boxes, and more to PDFs.
What is handbook for chapter 7?
The handbook for chapter 7 refers to the guidelines and instructions provided for individuals filing for Chapter 7 bankruptcy, which allows for the discharge of certain debts.
Who is required to file handbook for chapter 7?
Individuals or businesses that seek to declare bankruptcy under Chapter 7 must file the handbook.
How to fill out handbook for chapter 7?
To fill out the handbook for chapter 7, applicants need to complete the required forms, providing detailed information about their debts, assets, income, and expenses.
What is the purpose of handbook for chapter 7?
The purpose of the handbook for chapter 7 is to provide clear instructions for individuals filing for bankruptcy, ensuring that they understand the process and requirements.
What information must be reported on handbook for chapter 7?
The handbook for chapter 7 requires the reporting of personal identification details, financial statements, a list of creditors, assets, liabilities, income, and living expenses.
Fill out your chapter 7 trustee handbook online with pdfFiller!
pdfFiller is an end-to-end solution for managing, creating, and editing documents and forms in the cloud. Save time and hassle by preparing your tax forms online.
Chapter 7 Trustee Handbook is not the form you're looking for?Search for another form here.
Relevant keywords
Related Forms
If you believe that this page should be taken down, please follow our DMCA take down process
here
.
This form may include fields for payment information. Data entered in these fields is not covered by PCI DSS compliance.