Get the free BWSD - Public Records Request form - S.Weeks - 10.13.17
Show details
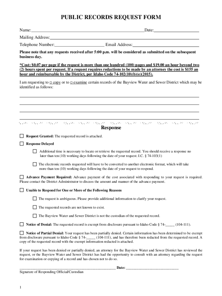
PUBLIC RECORDS REQUEST FORM Name: Date: Mailing Address: Telephone Number: Email Address: Please note that any requests received after 5:00 p.m. will be considered as submitted on the subsequent business
We are not affiliated with any brand or entity on this form
Get, Create, Make and Sign bwsd - public records
Edit your bwsd - public records form online
Type text, complete fillable fields, insert images, highlight or blackout data for discretion, add comments, and more.
Add your legally-binding signature
Draw or type your signature, upload a signature image, or capture it with your digital camera.
Share your form instantly
Email, fax, or share your bwsd - public records form via URL. You can also download, print, or export forms to your preferred cloud storage service.
Editing bwsd - public records online
To use the professional PDF editor, follow these steps below:
1
Check your account. If you don't have a profile yet, click Start Free Trial and sign up for one.
2
Simply add a document. Select Add New from your Dashboard and import a file into the system by uploading it from your device or importing it via the cloud, online, or internal mail. Then click Begin editing.
3
Edit bwsd - public records. Rearrange and rotate pages, add and edit text, and use additional tools. To save changes and return to your Dashboard, click Done. The Documents tab allows you to merge, divide, lock, or unlock files.
4
Get your file. When you find your file in the docs list, click on its name and choose how you want to save it. To get the PDF, you can save it, send an email with it, or move it to the cloud.
pdfFiller makes working with documents easier than you could ever imagine. Try it for yourself by creating an account!
Uncompromising security for your PDF editing and eSignature needs
Your private information is safe with pdfFiller. We employ end-to-end encryption, secure cloud storage, and advanced access control to protect your documents and maintain regulatory compliance.
How to fill out bwsd - public records
How to fill out bwsd - public records
01
To fill out bwsd - public records, follow these steps:
02
Start by obtaining the bwsd - public records form from the relevant authority or website.
03
Read the instructions carefully to understand the required information and any specific guidelines.
04
Provide your personal details, such as your name, address, and contact information.
05
Fill in the requested information accurately and completely.
06
If there are any attachments or supporting documents required, ensure that you provide them along with the form.
07
Double-check all the entered details for accuracy and make any necessary corrections.
08
Submit the completed form either online, by mail, or in person as per the provided instructions.
09
Keep a copy of the filled-out form for your records.
10
If there is a fee associated with filing the bwsd - public records, ensure you include the payment in the prescribed manner.
11
Wait for confirmation or acknowledgment of your submission, and follow up if necessary.
Who needs bwsd - public records?
01
Various individuals and entities may require bwsd - public records, including:
02
- Researchers conducting studies or analysis related to public records.
03
- Legal professionals who need access to public records for litigation or research purposes.
04
- Journalists or reporters investigating topics that involve public records.
05
- Government agencies or officials who require access to public records for administrative, regulatory, or compliance purposes.
06
- Business owners or entrepreneurs who need to gather information for market research or due diligence.
07
- Members of the public who are interested in accessing information that falls under the category of bwsd - public records.
08
- Academic institutions or scholars who utilize public records for educational or research purposes.
09
These are just a few examples, and there may be other specific individuals or organizations depending on the context and nature of the bwsd - public records.
Fill
form
: Try Risk Free
For pdfFiller’s FAQs
Below is a list of the most common customer questions. If you can’t find an answer to your question, please don’t hesitate to reach out to us.
Where do I find bwsd - public records?
It’s easy with pdfFiller, a comprehensive online solution for professional document management. Access our extensive library of online forms (over 25M fillable forms are available) and locate the bwsd - public records in a matter of seconds. Open it right away and start customizing it using advanced editing features.
How do I edit bwsd - public records on an iOS device?
Create, modify, and share bwsd - public records using the pdfFiller iOS app. Easy to install from the Apple Store. You may sign up for a free trial and then purchase a membership.
How do I complete bwsd - public records on an iOS device?
In order to fill out documents on your iOS device, install the pdfFiller app. Create an account or log in to an existing one if you have a subscription to the service. Once the registration process is complete, upload your bwsd - public records. You now can take advantage of pdfFiller's advanced functionalities: adding fillable fields and eSigning documents, and accessing them from any device, wherever you are.
What is bwsd - public records?
BWSD - Public Records refer to the documents mandated by the Bureau of Water and Sanitation District, which include various public data related to water and sanitation services.
Who is required to file bwsd - public records?
Entities that operate within the jurisdiction of the BWSD, including water and sanitation service providers, are required to file BWSD - Public Records.
How to fill out bwsd - public records?
To fill out BWSD - Public Records, obtain the official forms from the BWSD website, accurately complete all required fields, and provide any supporting documentation as specified.
What is the purpose of bwsd - public records?
The purpose of BWSD - Public Records is to ensure transparency, accountability, and effective management of water and sanitation resources within the district.
What information must be reported on bwsd - public records?
Information that must be reported includes service coverage areas, water quality data, compliance with regulations, financial reports, and operational statistics.
Fill out your bwsd - public records online with pdfFiller!
pdfFiller is an end-to-end solution for managing, creating, and editing documents and forms in the cloud. Save time and hassle by preparing your tax forms online.
Bwsd - Public Records is not the form you're looking for?Search for another form here.
Relevant keywords
Related Forms
If you believe that this page should be taken down, please follow our DMCA take down process
here
.
This form may include fields for payment information. Data entered in these fields is not covered by PCI DSS compliance.