
Get the free Online Examination of A Comatose Fax Email Print ...
Show details
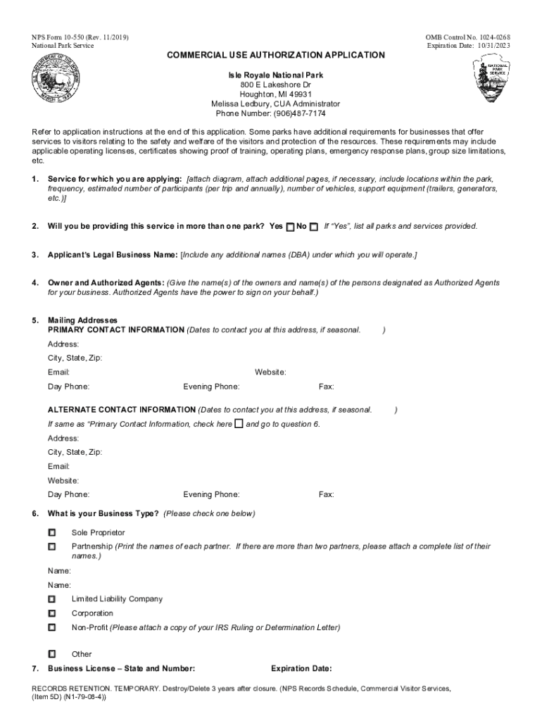
NPS Form 10550 (Rev. 11/2019) National Park Service OMB Control No. 10240268 Expiration Date: 10/31/2023COMMERCIAL USE AUTHORIZATION APPLICATION Isle Royale National Park 800 E Lake shore Dr Houghton,
We are not affiliated with any brand or entity on this form
Get, Create, Make and Sign online examination of a

Edit your online examination of a form online
Type text, complete fillable fields, insert images, highlight or blackout data for discretion, add comments, and more.

Add your legally-binding signature
Draw or type your signature, upload a signature image, or capture it with your digital camera.

Share your form instantly
Email, fax, or share your online examination of a form via URL. You can also download, print, or export forms to your preferred cloud storage service.
Editing online examination of a online
To use our professional PDF editor, follow these steps:
1
Check your account. If you don't have a profile yet, click Start Free Trial and sign up for one.
2
Simply add a document. Select Add New from your Dashboard and import a file into the system by uploading it from your device or importing it via the cloud, online, or internal mail. Then click Begin editing.
3
Edit online examination of a. Rearrange and rotate pages, add and edit text, and use additional tools. To save changes and return to your Dashboard, click Done. The Documents tab allows you to merge, divide, lock, or unlock files.
4
Save your file. Select it in the list of your records. Then, move the cursor to the right toolbar and choose one of the available exporting methods: save it in multiple formats, download it as a PDF, send it by email, or store it in the cloud.
With pdfFiller, it's always easy to deal with documents. Try it right now
Uncompromising security for your PDF editing and eSignature needs
Your private information is safe with pdfFiller. We employ end-to-end encryption, secure cloud storage, and advanced access control to protect your documents and maintain regulatory compliance.
How to fill out online examination of a

How to fill out online examination of a
01
Step 1: Access the online examination website
02
Step 2: Log in to your account or create a new one if required
03
Step 3: Read the instructions carefully to understand the format and rules of the examination
04
Step 4: Start the examination by clicking on the appropriate button
05
Step 5: Answer each question by selecting the correct option or typing an answer
06
Step 6: Save your progress periodically to avoid losing any responses
07
Step 7: Review your answers before submitting the examination
08
Step 8: Click on the submit button to finish the examination
09
Step 9: Wait for the examination results or any additional instructions from the website
Who needs online examination of a?
01
Students who want to take exams remotely without the need to attend a physical location
02
Educational institutions that want to administer exams online for their students
03
Organizations conducting certification exams for professionals
04
Any individual or group who prefers the convenience and flexibility of online examinations
Fill
form
: Try Risk Free
For pdfFiller’s FAQs
Below is a list of the most common customer questions. If you can’t find an answer to your question, please don’t hesitate to reach out to us.
Can I sign the online examination of a electronically in Chrome?
You can. With pdfFiller, you get a strong e-signature solution built right into your Chrome browser. Using our addon, you may produce a legally enforceable eSignature by typing, sketching, or photographing it. Choose your preferred method and eSign in minutes.
Can I edit online examination of a on an iOS device?
You certainly can. You can quickly edit, distribute, and sign online examination of a on your iOS device with the pdfFiller mobile app. Purchase it from the Apple Store and install it in seconds. The program is free, but in order to purchase a subscription or activate a free trial, you must first establish an account.
How do I complete online examination of a on an Android device?
Complete your online examination of a and other papers on your Android device by using the pdfFiller mobile app. The program includes all of the necessary document management tools, such as editing content, eSigning, annotating, sharing files, and so on. You will be able to view your papers at any time as long as you have an internet connection.
What is online examination of a?
Online examination of a is a digital process that allows individuals or organizations to submit required documentation and information over the Internet, often used in regulatory or compliance contexts.
Who is required to file online examination of a?
Entities or individuals subject to specific regulatory requirements are obligated to file online examination of a, typically including businesses, professionals, or organizations in particular industries.
How to fill out online examination of a?
To fill out online examination of a, users need to access the designated online platform, complete the required fields with accurate information, and submit the form electronically.
What is the purpose of online examination of a?
The purpose of online examination of a is to facilitate compliance, ensure transparency, and streamline the process of reporting necessary information to regulatory authorities.
What information must be reported on online examination of a?
Information typically required includes identification details, compliance data, operational metrics, and any other specifics mandated by the regulating body.
Fill out your online examination of a online with pdfFiller!
pdfFiller is an end-to-end solution for managing, creating, and editing documents and forms in the cloud. Save time and hassle by preparing your tax forms online.

Online Examination Of A is not the form you're looking for?Search for another form here.
Relevant keywords
Related Forms
If you believe that this page should be taken down, please follow our DMCA take down process
here
.
This form may include fields for payment information. Data entered in these fields is not covered by PCI DSS compliance.