
Get the free SASS Club: Gold Coast Gunslingers - Single Action Shooting ...
Show details
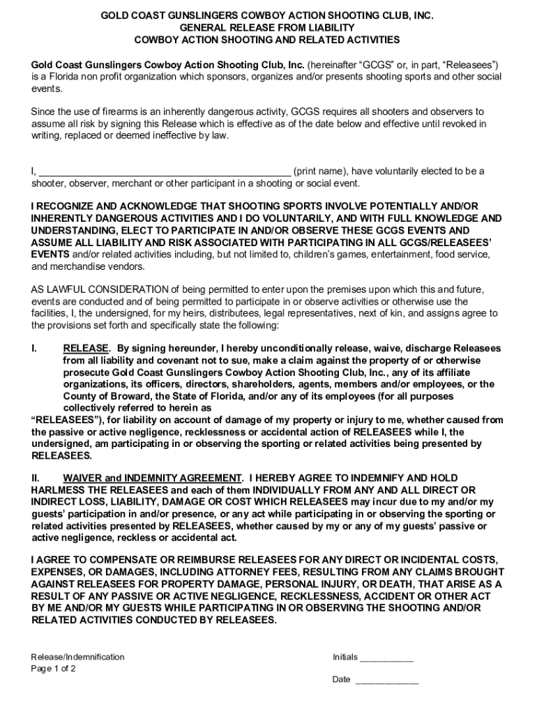
GOLD COAST GUNSLINGERS COWBOY ACTION SHOOTING CLUB, INC.
GENERAL RELEASE FROM LIABILITY
COWBOY ACTION SHOOTING AND RELATED ACTIVITIES
Gold Coast Gunslingers Cowboy Action Shooting Club, Inc. (hereinafter
We are not affiliated with any brand or entity on this form
Get, Create, Make and Sign sass club gold coast

Edit your sass club gold coast form online
Type text, complete fillable fields, insert images, highlight or blackout data for discretion, add comments, and more.

Add your legally-binding signature
Draw or type your signature, upload a signature image, or capture it with your digital camera.

Share your form instantly
Email, fax, or share your sass club gold coast form via URL. You can also download, print, or export forms to your preferred cloud storage service.
Editing sass club gold coast online
Use the instructions below to start using our professional PDF editor:
1
Log in. Click Start Free Trial and create a profile if necessary.
2
Upload a document. Select Add New on your Dashboard and transfer a file into the system in one of the following ways: by uploading it from your device or importing from the cloud, web, or internal mail. Then, click Start editing.
3
Edit sass club gold coast. Rearrange and rotate pages, add new and changed texts, add new objects, and use other useful tools. When you're done, click Done. You can use the Documents tab to merge, split, lock, or unlock your files.
4
Save your file. Select it in the list of your records. Then, move the cursor to the right toolbar and choose one of the available exporting methods: save it in multiple formats, download it as a PDF, send it by email, or store it in the cloud.
pdfFiller makes working with documents easier than you could ever imagine. Register for an account and see for yourself!
Uncompromising security for your PDF editing and eSignature needs
Your private information is safe with pdfFiller. We employ end-to-end encryption, secure cloud storage, and advanced access control to protect your documents and maintain regulatory compliance.
How to fill out sass club gold coast

How to fill out sass club gold coast
01
To fill out the SASS Club Gold Coast application, follow these steps:
02
Visit the official website of SASS Club Gold Coast
03
Navigate to the membership section
04
Read and understand the terms and conditions of the membership
05
Click on the 'Join Now' or 'Apply Now' button
06
Fill out the online application form
07
Provide all the required personal information such as name, contact details, and address
08
Select the desired type of membership (e.g. individual, family, student)
09
Choose the membership duration (e.g. monthly, yearly)
10
Attach any necessary supporting documents if required
11
Review the filled-out form for accuracy
12
Click on the 'Submit' or 'Apply' button to finalize the application
13
Make the necessary membership payment as per the specified instructions
14
Wait for the confirmation email or notification regarding the status of your application
15
Once approved, follow the further instructions provided to activate your membership
16
Enjoy the benefits and privileges of being a SASS Club Gold Coast member!
Who needs sass club gold coast?
01
SASS Club Gold Coast is beneficial for:
02
- Individuals who enjoy socializing, networking, and participating in social events
03
- Families looking for recreational activities and entertainment options
04
- Students seeking student-specific benefits and discounts
05
- People who want access to exclusive amenities and services offered by the club
06
- Those who want to be a part of a vibrant community and engage in various club activities
07
- Individuals who wish to take advantage of the club's facilities such as swimming pools, fitness centers, and restaurants
08
- Anyone who wants to enhance their lifestyle and have a memorable experience on the Gold Coast
Fill
form
: Try Risk Free
For pdfFiller’s FAQs
Below is a list of the most common customer questions. If you can’t find an answer to your question, please don’t hesitate to reach out to us.
Where do I find sass club gold coast?
It’s easy with pdfFiller, a comprehensive online solution for professional document management. Access our extensive library of online forms (over 25M fillable forms are available) and locate the sass club gold coast in a matter of seconds. Open it right away and start customizing it using advanced editing features.
How do I make edits in sass club gold coast without leaving Chrome?
Add pdfFiller Google Chrome Extension to your web browser to start editing sass club gold coast and other documents directly from a Google search page. The service allows you to make changes in your documents when viewing them in Chrome. Create fillable documents and edit existing PDFs from any internet-connected device with pdfFiller.
Can I create an electronic signature for signing my sass club gold coast in Gmail?
Create your eSignature using pdfFiller and then eSign your sass club gold coast immediately from your email with pdfFiller's Gmail add-on. To keep your signatures and signed papers, you must create an account.
What is sass club gold coast?
SASS Club Gold Coast is a social club that provides a platform for individuals to engage in recreational activities, network, and participate in community events.
Who is required to file sass club gold coast?
Members and organizers of the SASS Club Gold Coast may be required to file documentation related to membership, events, and financial records to comply with legal and organizational standards.
How to fill out sass club gold coast?
To fill out the SASS Club Gold Coast documentation, one must provide personal details, membership information, and any relevant event participation or financial contributions as required by the club's guidelines.
What is the purpose of sass club gold coast?
The purpose of SASS Club Gold Coast is to foster community engagement, provide recreational opportunities, and promote social interaction among its members.
What information must be reported on sass club gold coast?
The information that must be reported includes member details, event participation, financial transactions, and any other data necessary for maintaining club operations.
Fill out your sass club gold coast online with pdfFiller!
pdfFiller is an end-to-end solution for managing, creating, and editing documents and forms in the cloud. Save time and hassle by preparing your tax forms online.

Sass Club Gold Coast is not the form you're looking for?Search for another form here.
Relevant keywords
Related Forms
If you believe that this page should be taken down, please follow our DMCA take down process
here
.
This form may include fields for payment information. Data entered in these fields is not covered by PCI DSS compliance.