
Get the free Ruidoso Downs Fire Department 123 Downs Dr, Ruidoso Downs, NM ...
Show details
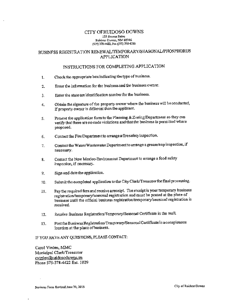
CITY OFRUIDOSO DOWNS
123 Downs DriveRuidoso Downs, NM 88346
575) 378 4422, Fax(575) 378. 4586BUSINESS REGISTRATION RENEWAL/TEMPORARY/SEASONAL/ PHOSPHORUS
APPLICATIONINSTRUCTIONS FOR COMPLETING APPLICATION
1.
We are not affiliated with any brand or entity on this form
Get, Create, Make and Sign ruidoso downs fire department

Edit your ruidoso downs fire department form online
Type text, complete fillable fields, insert images, highlight or blackout data for discretion, add comments, and more.

Add your legally-binding signature
Draw or type your signature, upload a signature image, or capture it with your digital camera.

Share your form instantly
Email, fax, or share your ruidoso downs fire department form via URL. You can also download, print, or export forms to your preferred cloud storage service.
How to edit ruidoso downs fire department online
Use the instructions below to start using our professional PDF editor:
1
Set up an account. If you are a new user, click Start Free Trial and establish a profile.
2
Upload a document. Select Add New on your Dashboard and transfer a file into the system in one of the following ways: by uploading it from your device or importing from the cloud, web, or internal mail. Then, click Start editing.
3
Edit ruidoso downs fire department. Rearrange and rotate pages, add new and changed texts, add new objects, and use other useful tools. When you're done, click Done. You can use the Documents tab to merge, split, lock, or unlock your files.
4
Get your file. When you find your file in the docs list, click on its name and choose how you want to save it. To get the PDF, you can save it, send an email with it, or move it to the cloud.
With pdfFiller, it's always easy to work with documents.
Uncompromising security for your PDF editing and eSignature needs
Your private information is safe with pdfFiller. We employ end-to-end encryption, secure cloud storage, and advanced access control to protect your documents and maintain regulatory compliance.
How to fill out ruidoso downs fire department

How to fill out ruidoso downs fire department
01
To fill out the Ruidoso Downs Fire Department form, follow these steps:
02
Obtain a copy of the form from the Fire Department office or their website.
03
Read the instructions provided on the form carefully.
04
Fill in your personal information accurately, including your name, address, contact number, and email address.
05
Provide any required additional information, such as emergency contact details or medical conditions.
06
Complete the checkboxes or answer the questions as per the form's requirements.
07
Review your responses to ensure they are correct and complete.
08
Sign and date the form.
09
Submit the filled-out form to the Ruidoso Downs Fire Department office either in person or via mail.
10
Retain a copy of the submitted form for your records.
Who needs ruidoso downs fire department?
01
The Ruidoso Downs Fire Department is needed by the residents of Ruidoso Downs and its surrounding areas.
02
Anyone residing in Ruidoso Downs or owning property within the jurisdiction of the fire department may require their services.
03
In case of emergencies, the fire department plays a crucial role in providing firefighting services, medical assistance, and rescue operations.
04
Businesses, organizations, and events within the Ruidoso Downs area may also depend on the fire department for safety inspections and emergency preparedness.
05
Overall, the Ruidoso Downs Fire Department serves as a vital resource for the community to ensure the protection and well-being of its residents and properties.
Fill
form
: Try Risk Free
For pdfFiller’s FAQs
Below is a list of the most common customer questions. If you can’t find an answer to your question, please don’t hesitate to reach out to us.
How do I execute ruidoso downs fire department online?
Filling out and eSigning ruidoso downs fire department is now simple. The solution allows you to change and reorganize PDF text, add fillable fields, and eSign the document. Start a free trial of pdfFiller, the best document editing solution.
How do I make changes in ruidoso downs fire department?
The editing procedure is simple with pdfFiller. Open your ruidoso downs fire department in the editor, which is quite user-friendly. You may use it to blackout, redact, write, and erase text, add photos, draw arrows and lines, set sticky notes and text boxes, and much more.
Can I create an electronic signature for signing my ruidoso downs fire department in Gmail?
With pdfFiller's add-on, you may upload, type, or draw a signature in Gmail. You can eSign your ruidoso downs fire department and other papers directly in your mailbox with pdfFiller. To preserve signed papers and your personal signatures, create an account.
What is ruidoso downs fire department?
Ruidoso Downs Fire Department is a municipal fire department that provides emergency services including fire suppression, rescue, and emergency medical services to the community of Ruidoso Downs, New Mexico.
Who is required to file ruidoso downs fire department?
Business owners and property developers in Ruidoso Downs may be required to file with the fire department for permits related to fire safety, construction, and occupancy.
How to fill out ruidoso downs fire department?
To fill out forms for the Ruidoso Downs Fire Department, individuals should obtain the necessary forms from the department's office or website, provide accurate information regarding their project or permit, and submit them according to the department's filing procedures.
What is the purpose of ruidoso downs fire department?
The purpose of the Ruidoso Downs Fire Department is to protect life and property through fire prevention, education, emergency response services, and community safety initiatives.
What information must be reported on ruidoso downs fire department?
Information that must be reported can include details about fire safety inspections, permit applications, incident reports, and compliance with fire codes and regulations.
Fill out your ruidoso downs fire department online with pdfFiller!
pdfFiller is an end-to-end solution for managing, creating, and editing documents and forms in the cloud. Save time and hassle by preparing your tax forms online.

Ruidoso Downs Fire Department is not the form you're looking for?Search for another form here.
Relevant keywords
Related Forms
If you believe that this page should be taken down, please follow our DMCA take down process
here
.
This form may include fields for payment information. Data entered in these fields is not covered by PCI DSS compliance.