Get the free PDF ATTORNEY LIABILITY ISSUES IN ESTATE PLANNING AND ...
Show details
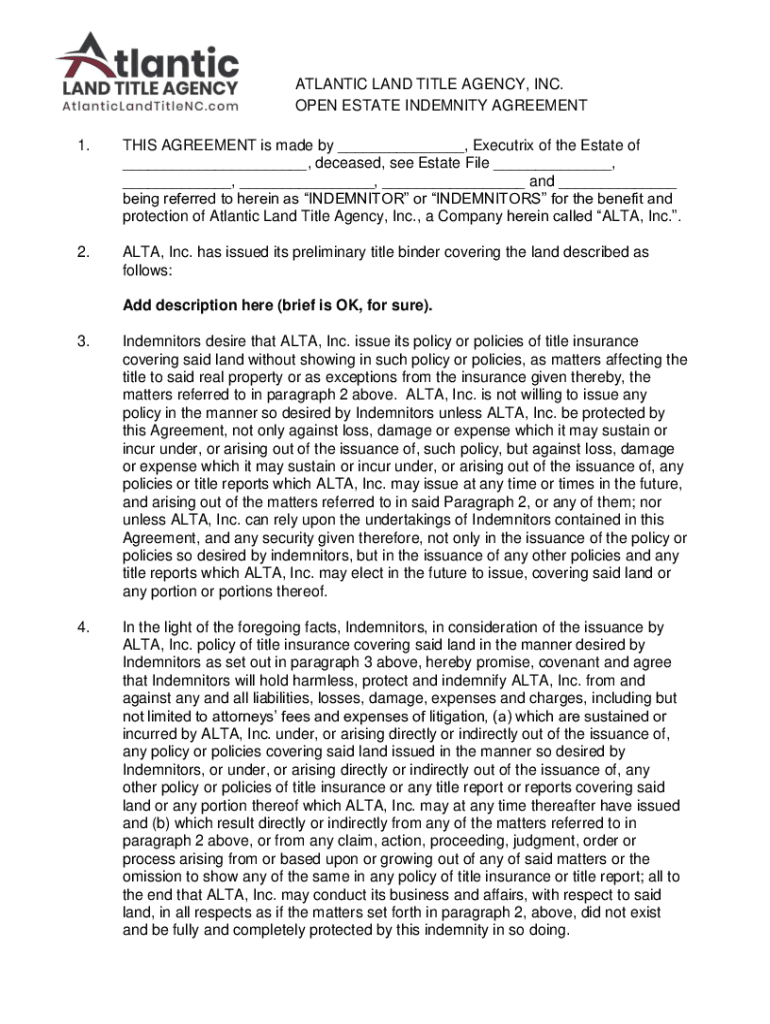
ATLANTIC LAND TITLE AGENCY, INC. OPEN ESTATE INDEMNITY AGREEMENT 1.THIS AGREEMENT is made by, Executrix of the Estate of, deceased, see Estate File, ,, and being referred to herein as INDEMNITY or
We are not affiliated with any brand or entity on this form
Get, Create, Make and Sign pdf attorney liability issues
Edit your pdf attorney liability issues form online
Type text, complete fillable fields, insert images, highlight or blackout data for discretion, add comments, and more.
Add your legally-binding signature
Draw or type your signature, upload a signature image, or capture it with your digital camera.
Share your form instantly
Email, fax, or share your pdf attorney liability issues form via URL. You can also download, print, or export forms to your preferred cloud storage service.
How to edit pdf attorney liability issues online
Here are the steps you need to follow to get started with our professional PDF editor:
1
Log in to account. Start Free Trial and register a profile if you don't have one yet.
2
Upload a document. Select Add New on your Dashboard and transfer a file into the system in one of the following ways: by uploading it from your device or importing from the cloud, web, or internal mail. Then, click Start editing.
3
Edit pdf attorney liability issues. Rearrange and rotate pages, insert new and alter existing texts, add new objects, and take advantage of other helpful tools. Click Done to apply changes and return to your Dashboard. Go to the Documents tab to access merging, splitting, locking, or unlocking functions.
4
Get your file. When you find your file in the docs list, click on its name and choose how you want to save it. To get the PDF, you can save it, send an email with it, or move it to the cloud.
pdfFiller makes working with documents easier than you could ever imagine. Try it for yourself by creating an account!
Uncompromising security for your PDF editing and eSignature needs
Your private information is safe with pdfFiller. We employ end-to-end encryption, secure cloud storage, and advanced access control to protect your documents and maintain regulatory compliance.
How to fill out pdf attorney liability issues
How to fill out pdf attorney liability issues
01
Open the PDF attorney liability issues form using a PDF reader software.
02
Review the form to understand the information and instructions provided.
03
Start by filling in your personal information such as your name, address, and contact details.
04
Pay attention to any required fields indicated by asterisks or highlighted sections.
05
Provide accurate and relevant information regarding the attorney liability issues in the designated areas.
06
Use concise and clear language to describe the details and nature of the liability issues.
07
If there are any attachments or supporting documents required, make sure to scan and attach them as requested.
08
Double-check the completed form for any errors or missing information.
09
Save a copy of the filled-out form for your records.
10
Submit the completed PDF attorney liability issues form as instructed by the relevant authority or organization.
Who needs pdf attorney liability issues?
01
Anyone who is involved in attorney liability issues, such as lawyers, attorneys, legal professionals, or individuals seeking legal assistance.
Fill
form
: Try Risk Free
For pdfFiller’s FAQs
Below is a list of the most common customer questions. If you can’t find an answer to your question, please don’t hesitate to reach out to us.
How do I complete pdf attorney liability issues online?
pdfFiller makes it easy to finish and sign pdf attorney liability issues online. It lets you make changes to original PDF content, highlight, black out, erase, and write text anywhere on a page, legally eSign your form, and more, all from one place. Create a free account and use the web to keep track of professional documents.
How can I edit pdf attorney liability issues on a smartphone?
You can do so easily with pdfFiller’s applications for iOS and Android devices, which can be found at the Apple Store and Google Play Store, respectively. Alternatively, you can get the app on our web page: https://edit-pdf-ios-android.pdffiller.com/. Install the application, log in, and start editing pdf attorney liability issues right away.
Can I edit pdf attorney liability issues on an Android device?
You can. With the pdfFiller Android app, you can edit, sign, and distribute pdf attorney liability issues from anywhere with an internet connection. Take use of the app's mobile capabilities.
What is pdf attorney liability issues?
PDF attorney liability issues refer to legal matters and responsibilities that attorneys may face when dealing with PDF documents, including potential negligence or errors in file preparation, representation, and accuracy.
Who is required to file pdf attorney liability issues?
Attorneys who have encountered liability issues related to PDF documentation in their practice are required to file the relevant information.
How to fill out pdf attorney liability issues?
To fill out PDF attorney liability issues, an attorney should gather necessary documentation, complete the required forms accurately, and provide detailed information regarding the liability issues encountered.
What is the purpose of pdf attorney liability issues?
The purpose of PDF attorney liability issues is to document and address any legal concerns regarding the handling of PDF files, ensuring accountability and compliance with legal standards.
What information must be reported on pdf attorney liability issues?
Information that must be reported includes details of the case, nature of the liability, involved parties, dates, and any corrective actions taken.
Fill out your pdf attorney liability issues online with pdfFiller!
pdfFiller is an end-to-end solution for managing, creating, and editing documents and forms in the cloud. Save time and hassle by preparing your tax forms online.
Pdf Attorney Liability Issues is not the form you're looking for?Search for another form here.
Relevant keywords
Related Forms
If you believe that this page should be taken down, please follow our DMCA take down process
here
.
This form may include fields for payment information. Data entered in these fields is not covered by PCI DSS compliance.